Самостійна робота "Властивості функцій" 9 за 01.12

Додано: 28 листопада 2025
Предмет: Алгебра, 9 клас
12 запитань
Запитання 1

Функцію задано формулою y=x2+2x-7.Знайди y(3,5).

варіанти відповідей

122,5

12,25

 26,25

7

Запитання 2

На рисунку зображено графік ...

варіанти відповідей

зростаючої функції

спадної функції

визначити неможливо

інша відповідь

Запитання 3

Визначте проміжки зростання функції за її графіком

варіанти відповідей

[-7;-5]

[-7;2]

 [-7;4]

визначити неможливо

Запитання 4

Визначте кількість проміжків спадання функції за її графіком

варіанти відповідей

0

1

2

3

Запитання 5

Вкажіть найбільше значення функції на проміжку (-7;7)

варіанти відповідей

-3

-2

0

1

Запитання 6

Вкажіть найменше значення функції на проміжку [-7;7]

варіанти відповідей

-7

-6

-3

0

Запитання 7

Знайдіть нулі функції f (x) = x² - 1

варіанти відповідей

х= -1; х=0

х=0

х=0; х=1

 х= -1; х=1

Запитання 8

Знайдіть область визначення функції:

(розв'язок прикріпити в гугл-клас до уроку)

варіанти відповідей

(0;7)

(3;7)

 [0;3) ⋃ (3;+∞)

 (3;7) ∪ (7;+∞)

Запитання 9

Знайдіть, не виконуючи побудови, точки перетину з осями координат графіка функції: (розв'язок прикріпити в гугл-клас до уроку)

у=х2 - 4х + 3

варіанти відповідей

(3;0); (0;3)

(4;0); (3;0); (0;-1)

(3;0); (1;0); (0;3)

інша відповідь

Запитання 10

Чи належить графіку функції у=5х - 8 точка М(100; 492) ?

варіанти відповідей

так

ні

неможливо визначити

Запитання 11

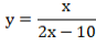
Область визначення функції

варіанти відповідей

 (-2;10)

(-∞;5)

(-∞;+∞)

(-∞;5)⋃(5;+∞)

Запитання 12

Користуючись графіком функції, що зображений на рисунку, вкажіть усі правильні твердження

варіанти відповідей

 Функція зростає на всій області визначення

Функція спадає на всій області визначення

Функція має два нулі

Функція не існує в точці х=0

у<0, якщо х є (-∞; 0)

Створюйте онлайн-тести
для контролю знань і залучення учнів
до активної роботи у класі та вдома

Створити тест