Самостійна робота з теми «Електрична напруга. Одиниця напруги. Вольтметр»

Додано: 24 лютого 2025
Предмет: Фізика, 7 клас
8 запитань
Запитання 1

Електрична напруга характеризує 

варіанти відповідей

Силу струму

Роботу струму з переміщення заряду

Заряд, що пройшов через поперечний переріз провідника

Запитання 2

В яких одиницях вимірюють електричну напругу?

варіанти відповідей

Вольтах (В)

Кулонах (Кл)

Амперах (А)

Запитання 3

Умовне позначення вольтметра 

варіанти відповідей
Запитання 4

На якому рисунку зображено правильне підключення амперметра та вольтметра? 

варіанти відповідей
Запитання 5

Яку напругу показує вольтметр, зображений на рисунку?

варіанти відповідей

3,2В

2,5В

Запитання 6

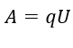
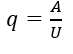
Якою формулою обчислюють електричну напругу в колі? 

варіанти відповідей
Запитання 7

За одиницю напруги приймають напругу на ділянці кола, за якої електричне поле виконує роботу 

варіанти відповідей

1Дж, переміщуючи по цій ділянці заряд, що дорівнює 1 Кл

1Дж

1Дж, а сила струму в колі дорівнює 1 А

Запитання 8

За 5 с на ділянці кола здійснена робота 20 Дж. Визначте силу струму за напруги 2 В

варіанти відповідей

0.5А

10А

Створюйте онлайн-тести
для контролю знань і залучення учнів
до активної роботи у класі та вдома

Створити тест