Самостійна робота з теми "Основні методи розв'язування рівнянь"

Додано: 18 лютого
Предмет: Алгебра, 11 клас
11 запитань
Запитання 1

Рівняння виду √3х+7=7-х має корені:

варіанти відповідей

1, 3

1

3

-1, 1, 3

Запитання 2

Розв'яжіть рівняння 28-2х2= 2х2-1

варіанти відповідей

±√3

√3

-√3

0, ±√3

Запитання 3

Знайдіть всі корені рівняння х4 - 9х2 + 4х+12=0

варіанти відповідей

- 1

1

-2

2

- 3

3

Запитання 4

Розв'яжіть рівняння 2+2х+2)(х2+2х-4)=-5

варіанти відповідей

± 1

± 3

± 1, -3

± 1, 3

± 3, -1

Запитання 5

sin x = 1/2

варіанти відповідей

(- 1)nπ/3 +2πn, n ∈ Z

π/6 +2πn, n ∈ Z

(- 1)nπ/6 +πn, n ∈ Z

+- π/6 +2πn, n ∈ Z

Запитання 6

Розв'яжіть рівняння ∛8х=√2⋅∛2

варіанти відповідей

2/3

3/2

1/6

2/5

5/6

Запитання 7

Розв'яжіть рівняння 2+2х+2)(х2+2х-4)=-5

варіанти відповідей

± 1

± 3

± 1, -3

± 1, 3

± 3, -1

Запитання 8

Розв'яжіть рівняння (2/9)5x=(9/2)x-6

варіанти відповідей

x = -1

x = 1

x = -6/4

x = 2/3

Запитання 9

5х+1-5х-1=24

варіанти відповідей

0

1

-1

25

Запитання 10

Розв’яжіть рівняння: log5 (2x+ 3x + 1) = log5 (2x + 2).

варіанти відповідей

 -1 та 0,5

0,5

-1

0,25

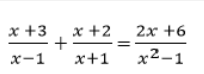
Запитання 11

Розв'яжіть рівняння

варіанти відповідей

 -2,5; 1 

-1; 2,5

1

-2,5

Створюйте онлайн-тести
для контролю знань і залучення учнів
до активної роботи у класі та вдома

Створити тест