Семестрова контрольна робота за І семестр 10 класу з алгебри

Додано: 20 грудня 2025
Предмет: Алгебра, 10 клас
6 запитань
Запитання 1

Функцію задано формулою f(x)=x2-x+2 . Знайдіть f(2) .


варіанти відповідей

5

2

4

8

Запитання 2

Визначте функцію у=х42 на парність

варіанти відповідей

Парна функція

Непарна функція

Ні парна, ні непарна функція

Визначити парність даної функції неможливо

Запитання 3

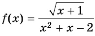
Знайдіть область визначення даної функції

варіанти відповідей

всі раціональні числа

всі раціональні числа, крім 0 і 1

всі раціональні числа, крім 1 і 2

всі раціональні числа, крім -2 і 1

Запитання 4

Обчисліть значення виразу

варіанти відповідей

0,25

1,25

1

0,5

Запитання 5

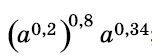
Спростіть вираз

варіанти відповідей

а2

а0,2

а5

а0,5

Запитання 6

Обчисліть вираз

варіанти відповідей

27

9

3

81

Створюйте онлайн-тести
для контролю знань і залучення учнів
до активної роботи у класі та вдома

Створити тест