Системи двох лінійних рівнянь з двома змінними та їх розв’язок. Графічний спосіб розв’язування систем.

12 запитань
Запитання 1

Закінчіть речення: «Розв’язком системи рівнянь із двома змінними є...»

варіанти відповідей

число x

пара чисел (x;y)

пара чисел (х;у), які задовольняють кожне рівняння системи

Запитання 2

Скільки розв’язків має система рівнянь графік якої зображено на малюнку?

варіанти відповідей

1

2

3

жодного

Запитання 3

Укажіть кількість розв’язків, які має система рівнянь графік якої зображено на малюнку?

варіанти відповідей

1

2

безліч

жодного

Запитання 4

За даними рисунка записати розв'язок системи

варіанти відповідей

(1;3)

(3;1)

(5;1)

(-1;3)

Запитання 5

За даними рисунка записати розв'язок системи

варіанти відповідей

(3;0)

(0;3)

(-1;3)

(-3;0)

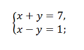
Запитання 6

Яка з пар чисел (х; у) є розв'язком системи рівнянь

варіанти відповідей

 (4; -3)

 (4; 3)

 (4; 19)

(4; 21)

Запитання 7

Скільки розв'язків має системи двох лінійних рівнянь зображених на малюнку: 

варіанти відповідей

1

2

безліч

жодного

Запитання 8

Розв’язати систему рівнянь із двома змінними означає...

варіанти відповідей

знайти її розв’язки або довести, що їх немає

знайти y

довести, що роз'язків немає

 знайти x

Запитання 9

Скільки розв'язків має система, якщо дві прямі, які є графіками лінійних рівнянь з двома змінними, перетинаються в одній точці ?

варіанти відповідей

безліч розв'язків

жодного

один

два

Запитання 10

Якщо дві прямі, які є графіками лінійних рівнянь з двома змінними, не перетинаються (графіки паралельні), то скільки розв'язків має система ?

варіанти відповідей

один

жодного

безліч

інша відповідь

Запитання 11

Скільки розв’язків має система рівнянь, якщо дві прямі, які є графіками лінійних рівнянь з двома змінними, збігаються ?

варіанти відповідей

один

безліч

жодного

інша відповідь

Запитання 12

Яка пара чисел є розв'язком системи рівнянь:

варіанти відповідей

(4 ;3)

(-4 ;3)

(-4 ;-3)

(4 ; -3)

Створюйте онлайн-тести
для контролю знань і залучення учнів
до активної роботи у класі та вдома

Створити тест