Системи лінійних рівнянь

Додано: 26 березня 2025
Предмет: Алгебра, 7 клас
9 запитань
Запитання 1

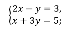
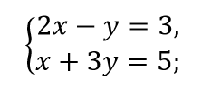
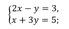
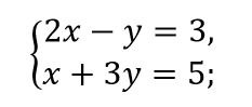
Яка пара чисел є розв'язком системи рівнянь

варіанти відповідей

(2;1)

(1;1)

(2;-1)

(1;-3)

Запитання 2

З рівняння 2х + у = 4 виразити змінну У через змінну Х

варіанти відповідей

у = 2х + 4

у = 2х - 4

у = -2х - 4

у = 4 - 2х

Запитання 3

З рівняння 2х + у = 4 виразити змінну х

варіанти відповідей

х = 2у - 4

х = 2 - 0,5у

х = 0,5у - 2

х = 0,5у + 2

Запитання 4

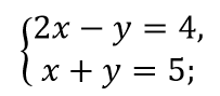
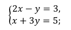
При розв'язуванні системи рівнянь способом підстановки з другого рівняння виразили змінну Х через змінну У. При цьому отримали:

варіанти відповідей

х = 5 - 3у

х = 5 + 3у

х = 3у - 5

х = 3 + у

Запитання 5

Підставивши в перше рівняння системи замість змінної Х вираз, отриманий з другого рівняння, отримаємо:

варіанти відповідей

5 - 3у - у = 3

2(5 - 3у) - у = 3

5 - 3у + 3у = 5

5 - 3у = 3

Запитання 6

У заданій системі рівнянь значення змінної У дорівнює

варіанти відповідей

2

3

1

4

Запитання 7

У заданій системі рівнянь значення змінної Х дорівнює

варіанти відповідей

2

3

4

1

Запитання 8

Якщо пара чисел (х0; у0) є розв'язком заданої системи рівнянь, то х0 + у0 =


Розв'язок завдання надішліть у класрум

варіанти відповідей

1

2

3

5

Запитання 9

Розв'яжіть систему рівнянь способом додавання. Значення змінної У дорівнює


Розв'язок завдання надішліть у класрум



варіанти відповідей

1

2

3

4

Створюйте онлайн-тести
для контролю знань і залучення учнів
до активної роботи у класі та вдома

Створити тест