Системи рівнянь другого степеня

Додано: 27 січня
Предмет: Алгебра, 9 клас
10 запитань
Запитання 1

Графік якої системи рівнянь зображено на рисунку?

варіанти відповідей
Запитання 2

За рисунком, на якому зображено графіки рівнянь, визначте кількість розв'язків системи цих рівнянь.

варіанти відповідей

жодного

два

один

неможливо визначити

Запитання 3

Які фігури є графіками рівнянь системи

варіанти відповідей

пряма

парабола

гіпербола

коло

трикутник

квадрат

трапеція

Запитання 4

Якщо система складається з рівнянь графіки яких не перетинаються, то система

варіанти відповідей

має один розв'язок

не має розв'язків

має два розв'язки

має безліч розв'язків

Запитання 5

Розв’язком системи рівнянь із двома змінними є

варіанти відповідей

пара чисел (x;y)

число x

пара чисел, які задовольняють кожне рівняння системи

число y

Запитання 6

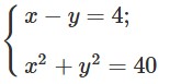
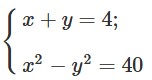
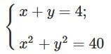
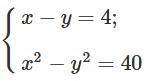
Яка система рівнянь відповідає умові задачі? Різниця двох натуральних чисел дорівнює 4, а різниця їх квадратів дорівнює 40. Знайдіть ці числа.

варіанти відповідей
Запитання 7

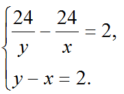
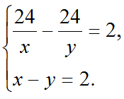
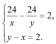
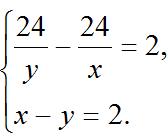
Кожному майстрові потрібно виготовити 24 деталі. Перший майстер завершує роботу на 2 год раніше, ніж другий. Скільки деталей за годину виготовляє кожен майстер, якщо перший майстер виготовляє на 2 деталі за годину більше, ніж другий? 


Яка з систем рівнянь відповідає умові задачі?

варіанти відповідей
Запитання 8

Яка пара чисел є розв'язком системи рівнянь

варіанти відповідей

(0; 3)

(3; 0)

(2; 5)

(5; 2)

Запитання 9

Скільки розв'язків має система рівнянь?


варіанти відповідей

жодного

безліч

один

два

Запитання 10

Які є способи розв'язування систем рівнянь другого степеня з двома змінними (виберіть всі можливі варіанти)?

варіанти відповідей

графічний

квадратний

підстановки

лінійний

заміни змінних

кубічний

додавання

Створюйте онлайн-тести
для контролю знань і залучення учнів
до активної роботи у класі та вдома

Створити тест