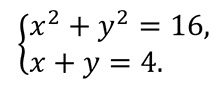
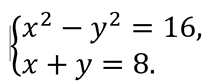
Яка пара чисел є розв'язком системи
?
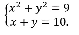
Виберіть варіант розв'язування системи рівнянь
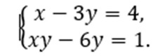
Розв'язати систему рівнянь 
Скільки розв'язків має система рівнянь
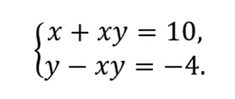
Виберіть розв'язки системи рівнянь 
Знайдіть точки перетину прямої x+y=7 і гіперболи xy=10 .
Створюйте онлайн-тести
для контролю знань і залучення учнів
до активної роботи у класі та вдома