Системи (сукупності) лінійних нерівностей з однією змінною

Додано: 10 жовтня 2025
Предмет: Алгебра, 9 клас
11 запитань
Запитання 1

Розв'язати систему нерівностей та знайти суму цілих додатних її розв'язків.

варіанти відповідей

[4;-7), сума 28

 [-4;7), сума 20

 [-4;7], сума 21

 (-4;7], сума 0

Запитання 2

Розв’яжіть подвійну нерівність – 2 < х – 3 < 7.

варіанти відповідей

(1; 10)

(– 5; 4)

(– 5; 10)

Запитання 3

Розв’яжіть нерівність ∣х∣ ≤ 4.

варіанти відповідей

 (– 4; 4)

 (– 4; 4]

[– 4; 4)

[– 4; 4]

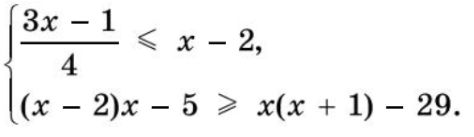
Запитання 4

Розв’яжіть систему нерівностей:

варіанти відповідей

 ∅

(– ∞; 5]

(– ∞; 2)

(2; 5]

Запитання 5

Множиною розв’язків сукупності нерівностей є … 


варіанти відповідей

(–∞; – 3] ∪ (0,05; + ∞)

 (–∞; 0,05) ∪ [3; + ∞)


[3; + ∞)

(0,05; + ∞)

Запитання 6

Відмітьте, які з чисел є розв'язками системи

варіанти відповідей

0

-1

3

-3

1

-2

2

Запитання 7

Розв’яжіть систему нерівностей

варіанти відповідей

x∊(2; 13]

x∊(-∾; 2)

 x∊(2; 13)

x∊(-∾; 13]

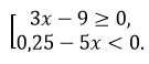
Запитання 8

Запишіть у вигляді проміжку

варіанти відповідей

 x∊[-7; -5]

x∊(-5; +∾)

x∊(-7; -5)

x∊(-∾; -7)

Запитання 9

Розв'яжіть систему нерівностей:

варіанти відповідей

(3,6; 4)

 (2; 3,6)

 (2; 4)

(2; 4]

Запитання 10

Знайти усі цілі розв'язки системи нерівностей

варіанти відповідей

7; 8

7; -8

 - 7; 8

- 7; - 8

Запитання 11

Знайдіть найбільше ціле число, що є розв'язком системи

варіанти відповідей

0

2

1

3

Створюйте онлайн-тести
для контролю знань і залучення учнів
до активної роботи у класі та вдома

Створити тест