СР. Лінійних нерівностей з однією змінною (алг.9)

Додано: 7 жовтня 2025
Предмет: Алгебра, 9 клас
17 запитань
Запитання 1

Розв’яжи нерівність та зобрази множину її розв’язків на координатній прямій.

x + 2 > 7

варіанти відповідей

x > 5

x > 9

x > 3,5

x > 7

Запитання 2

Розв’яжи нерівність та зобрази множину її розв’язків на координатній прямій.

 3x > 18

варіанти відповідей

x > 15

x > 9

x > 6

x > 3

Запитання 3

Розв’яжи нерівність та зобрази множину її розв’язків на координатній прямій.

x – 4 < 0

варіанти відповідей

x >4

x > -4

x < -4

x < 4

Запитання 4

Розв’яжи нерівність та зобрази множину її розв’язків на координатній прямій.

6 х < 12

варіанти відповідей

x < 3

x > 3

x < 6

x < 2

Запитання 5

Знайди множину розв’язків нерівності. та зобрази множину її розв’язків на координатній прямій.

 12 + x > 18

варіанти відповідей

(6; +∾)

⌈6; +∾)

(30; +∾)

⌈1,5; +∾)

Запитання 6

Знайди множину розв’язків нерівності. та зобрази множину її розв’язків на координатній прямій.

6 – x ⩽ 4

варіанти відповідей

(-∾; -2)

⌈2; +∾)

(-∾; 2 ⌉

(-2; +∾)

Запитання 7

Знайди множину розв’язків нерівності. та зобрази множину її розв’язків на координатній прямій.

 6 – 5x ⩽ 2

варіанти відповідей

(-∾; -1,4)

⌈0,8; +∾)

(-∾; 0,8 ⌉

(-8; +∾)

Запитання 8

Знайди множину розв’язків нерівності. та зобрази множину її розв’язків на координатній прямій.

 1 + 3x > 10

варіанти відповідей

(-∾; 6)

(6; +∾)

(-∾; 3)

(3; +∾)

Запитання 9

Розв’яжи нерівність

5x > 35

варіанти відповідей

x > 5

x > 7

x > 30

x > 0

Запитання 10

*Розв’яжи нерівність

8x < 72

варіанти відповідей

x < 9

x < 7

x > 9

x < 64

Запитання 11

Розв’яжи нерівність

 –9x > –63

варіанти відповідей

x > 7

x < 7

x > -7

x < -7

Запитання 12

Розв’яжи нерівність

 –15x ⩽ 25

варіанти відповідей

x ⩽ 10

x ⩽ -10

x ⩾ - 5/3

x ⩾ 5/3

х ⩽ - 5/3

х ⩾ -10

Запитання 13

*Розв’яжи нерівність

  6 + x < 3 – 2x

варіанти відповідей

x < 1

x > - 3

x > 3

x < 3

х < - 1

х > -1

Запитання 14

Розв’яжи нерівність

   3(2 + x) > 4 – x

варіанти відповідей

x < 0,5

x > -0,5

x > 5

x < 5

х < - 2

х > -2

Запитання 15

Розв’яжи нерівність

   3(1 – x) + 2(2 – 2x ) < 0

варіанти відповідей

x < 1

x > -7

x > 1

x < -1

х < - 7

х > 7

Запитання 16

Розв’яжи нерівність

  1-х /4 < 5

варіанти відповідей

x < 19

x > -19

x > -4

x < -4

х < - 19

х > 4

Запитання 17

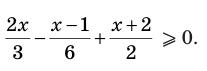
*Знайди значення x, за яких виконується нерівність

варіанти відповідей

х ⩾-7/6

х ⩾-5/6

х ⩾-3/2

х ⩽-7/6

х ⩽-5/6

х ⩽-3/2

х ⩾6

Інша відповідь

Створюйте онлайн-тести
для контролю знань і залучення учнів
до активної роботи у класі та вдома

Створити тест