Теорема Піфагора

Додано: 12 лютого 2025
Предмет: Геометрія, 8 клас
8 запитань
Запитання 1

Вставте пропущене слово в речення.

У прямокутному трикутнику квадрат гіпотенузи дорівнює _______ квадратів катетів

варіанти відповідей

різниці

сумі

добутку

частці

Запитання 2

Установіть відповідність між заданими значеннями катета a та гіпотенузи c, та значенням іншого катета b в прямокутному трикутнику a = 9, c = 41

варіанти відповідей

b = 6

b = 40

b = 8

b = 16

b = 4

Запитання 3

Установіть відповідність між заданими значеннями катета a та гіпотенузи c, та значенням іншого катета b в прямокутному трикутнику a = 12, c = 20

варіанти відповідей

b = 6

b = 40

b = 8

b = 16

b = 4

Запитання 4

Установіть відповідність між заданими значеннями катета a та гіпотенузи c, та значенням іншого катета b в прямокутному трикутнику a = 4,5, c = 7,5

варіанти відповідей

b = 6

b = 40

b = 16

b = 8

b = 4

Запитання 5

Установіть відповідність між заданими значеннями катета a та гіпотенузи c, та значенням іншого катета b в прямокутному трикутнику a = 3, c = 5

варіанти відповідей

b = 6

b = 40

b = 8

b = 16

b = 4

Запитання 6

Визначте 3 правильні відповіді.

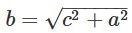
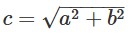
Які з поданих виразів є правильними для прямокутного трикутника з катетами a і b та гіпотенузою c?

варіанти відповідей
Запитання 7

Знайдіть медіану прямокутного трикутника, проведену до більшого катета, якщо менший катет цього трикутника дорівнює 4 см, а гіпотенуза 2√13 см

варіанти відповідей

5 см

7 см

4√3 см

3√2 см

Запитання 8

Бічні сторони рівнобедреного трикутника дорівнюють 29 см, а основа — 40 см. Знайдіть висоту цього трикутника, проведену до його основи.

варіанти відповідей

27 см

441 см

21 см

36 см

Створюйте онлайн-тести
для контролю знань і залучення учнів
до активної роботи у класі та вдома

Створити тест