Тотожні перетворення виразів, що містять квадратні корені

Додано: 25 лютого
Предмет: Алгебра, 8 клас
18 запитань
Запитання 1

Винесіть множник з-під знака кореня:√300

варіанти відповідей

10

10√3

150

3√10

Запитання 2

Внесіть множник під знак кореня: 4√11

варіанти відповідей

√44

√484

√176

√15

Запитання 3

Спростіть вираз: 2√7 + 4√7 - 5√7

варіанти відповідей

√7

0

11√7

1

Запитання 4

3√5 ⋅ 4√5=

варіанти відповідей

12√5

60

300

7√5

Запитання 5

√25х-√16х+√81х=

варіанти відповідей

0

18√х

√90х

10√х

Запитання 6

 Порівняйте числа:

√11​ і 3

варіанти відповідей

√11>3

√11<3

Неможливо порівняти

√11=3

Запитання 7

Який вираз не має змісту?

варіанти відповідей
Запитання 8

Знайдіть значення виразу (2√6)2- 3(√21)2

(Розв'язок записати у зошит)

варіанти відповідей

39

56

-28

-39

Запитання 9

Обчисліть


(Розв'язок записати у зошит)

варіанти відповідей

3,5

3,7

4,1

4,3

4,5

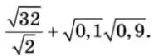
Запитання 10

Обчисліть


(Розв'язок записати у зошит)

варіанти відповідей

161

17

73

61

інша відповідь

Запитання 11

Знайдіть значення виразу


(Розв'язок записати у зошит)

варіанти відповідей

−13,5

−21

22,5

−45

15,3

інша відповідь

Запитання 12

Розв'яжіть рівняння

(x + 3)² = 100


(Розв'язок записати у зошит)

варіанти відповідей

−13; 7

−10; 10

−3

−7; 13

−3; 10

інша відповідь

Запитання 13

Спростіть вираз

варіанти відповідей

1

Запитання 14

Розкрийте дужки та спростіть вираз


(Розв'язок записати у зошит)

варіанти відповідей

n-14

n-5√n-14

n+5√n-14

n+14

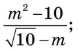
Запитання 15

Спростіть вираз


(Розв'язок записати у зошит)

варіанти відповідей

-(√10+m)

√10-m

√10+m

1

Запитання 16

Звільніть дріб від ірраціональності в знаменнику

5/√7


варіанти відповідей

5√7/7

√7/7

7√7/5

√5/7

Запитання 17

Звільніться від ірраціональності в знаменнику дробу

8 ∕ (√10 -√2 )


(Розв'язок записати у зошит)

варіанти відповідей

√10 +√2

8

(√10+√2) ∕ 2

√10

Запитання 18

Розв'яжіть рівняння

х2=5

варіанти відповідей

5

-5

5; -5

не має розв'√язків

√5

-√5

√5; -√5

Створюйте онлайн-тести
для контролю знань і залучення учнів
до активної роботи у класі та вдома

Створити тест