тригонометрія

Додано: 22 березня 2025
Предмет: Алгебра, 10 клас
40 запитань
Запитання 1

Обчислити sin(-225)

варіанти відповідей

1

-√2/2

-1

√2/2

Запитання 2

Спростити вираз sin(π+α) + cos (π/2 +α)

варіанти відповідей

-2sinα

2sinα

0

2cos α

Запитання 3

Спростіть вираз сtg2β (1− соs2β)

варіанти відповідей

sin2β

1

cos2β


0

Запитання 4

Спростіть вираз

(1 - sinα)(1+ sinα) =

варіанти відповідей

cos2α

cos2α

не знаю

Запитання 5

sin2x=

варіанти відповідей

2sinxcosx

2sinx+cosx

sin2xcos2x

Запитання 6

Основна тригонометрична тотожність

варіанти відповідей

sin2x +cos2x=0

sin2x +cos2x=1

sin2x +cos2x=1

Запитання 7

Якій чверті належить кут 1200?

варіанти відповідей

1

2

3

4

Запитання 8

Який знак в 2 чверті приймає значення sin1200?

варіанти відповідей

+

-

Запитання 9

Знайдіть значення виразу:

cos290⋅cos1190+sin290⋅sin1190

варіанти відповідей

-1

0

1

Не існує

Запитання 10

Спростити вираз tgβ(cosβ+ctgβ).

варіанти відповідей

1+tgβ

1+cosβ

1

1+sinβ

1+ctgβ

Запитання 11

Спростіть вираз

варіанти відповідей

-1

0

1

sin α

Запитання 12

Спростити sin2xcos5x-sin5xcosx

варіанти відповідей

sin3x

-sin3x

cos7x

sin7x

Запитання 13

Яке з наведених рівнянь не має коренів?


варіанти відповідей

 sinx=√3/2

tgx=√3/2

ctgx=2/√3

tgx=2/√3

 cosx=2/√3

Запитання 14

Чи має рівняння tg(x+1)=3 розв'язки ?

варіанти відповідей

Так

Ні

визначити неможливо

Запитання 15

Розв’язати рівняння sin х = 1/2.

варіанти відповідей

 ± π/6 + 2πп, п є Z

(-1)n π/6 + πп, п є Z

(-1)n π/3 + πп, п є Z

інша відповідь

Запитання 16

Знайдіть значення виразу:

2sin²β - 5 + 2cos²β

варіанти відповідей

- 3

7

- 4

- 2

3

Запитання 17

Знайти tg 210⁰

варіанти відповідей

1 ∕ √3

1

-√3

- 1 ⁄ √3

Запитання 18

Знайти вираз, тотожно рівний виразу 1 - sin2α

варіанти відповідей

 cosα

 cos2α

 tg2α

 ctg2α

 -ctg2α

Запитання 19

Вибрати правильні рівності

варіанти відповідей

sin2α + cos2α = 1

sin2 α - cos2 α = cos 2α

1- cos2α = sin2α

sin2α - 1 = cos2α

cos2α - sin2α = cos 2α

Запитання 20

Серед наведених функцій визначіть парну функцію:


варіанти відповідей

 y=sinx 

 y=cosx

  y=tgx

  y=ctgx

Запитання 21

Знайдіть cos α, якщо sin α= 5/13 і кут α - тупий

варіанти відповідей

12/13

-5/13

-12/13

5/13

Запитання 22

Спростіть вираз: sin2x − 1 + cos2x + (1 − соs x)(1 + соs x)

варіанти відповідей

cos2x

sin2x

0

- cos2x

Запитання 23

Обчислити sin(π/2) + cos(π/2) + tg(π/4) - ctg(3π/2).

варіанти відповідей

1

3

4

Запитання 24

sin 0 =

варіанти відповідей

0

1

-1

Запитання 25

cos 0 =

варіанти відповідей

0

1

-1

Запитання 26

3cos2β + 3sin2β =

варіанти відповідей

3

2

0

Запитання 27

Який з виразів набуває додатнього значення?

варіанти відповідей

sin43⁰⋅cos315⁰ 

 tg23⁰⋅cos190⁰

 cos143⁰⋅sin35⁰

sin550⁰⋅ctg35⁰

Запитання 28

ОБРАТИ ВІДПОВІДЬ

варіанти відповідей

π/6 +πn, n⋲ Z

π/3 + 2πn, n⋲ Z

Запитання 29

Cпрости вираз:

sin(α+β) - sinαcosβ

варіанти відповідей

   -cosαsinβ

  

 cosβsinα

 -cosβsinα

 cosαsinβ

Запитання 30

Обчислити значення виразу sin(arctg√3/3)

варіанти відповідей

√3/3

π/3

½

- ½

Запитання 31

Розв'язати рівняння 2cos2x + 1 =0

варіанти відповідей

інша відповідь

Запитання 32

Розв'яжіть рівняння

sin2x = 1/2

варіанти відповідей

х = ±π ⁄ 12 + πn∕ 2, n∊Z

х = (-1)nπ ⁄ 6 + πn, n∊Z

х = (-1)nπ ⁄ 6 + πn/2, n∊Z

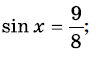
Запитання 33

Скільки коренів має рівняння?

варіанти відповідей

один

два

безліч

жодного

Запитання 34

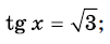
Розв'язати рівняння

варіанти відповідей

x= π/3 +πk, k∊Z

x= ±π/3 +πk, k∊Z

x= π/3 +2πk, k∊Z

x= π/6 +πk, k∊Z

Запитання 35

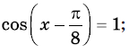
Рівняння

варіанти відповідей

х= π/8+2πk, k∈Z

х= π/8-2πk, k∈Z

х= ±π/8+2πk, k∈Z

х= π/8+πk, k∈Z

Запитання 36

Спростити вираз:

6 - sin2α - cos2α

варіанти відповідей

4

3

2

5

Запитання 37

Спростити вираз:

варіанти відповідей

tg 4α

-ctg 4α

-ctg 2α

ctg 4α

Запитання 38

Встановити відповідність

варіанти відповідей

1Б 2Г 3В 4А

1Б 2Г 3Д 4А

1Д 2Г 3В 4А

1Б 2Д 3В 4А

Запитання 39

Розв'язати рівняння: cos( π/4 + x ) =0

варіанти відповідей

πn; n∊z


π + πn; n∊z

π/4+πn; n∊z

π/4

Запитання 40

sіn( π/3 + x ) =1

варіанти відповідей


2πn; n∊z

π/6 + 2πn; n∊z

-π/3+πn; n∊z

π/3+2πn

Створюйте онлайн-тести
для контролю знань і залучення учнів
до активної роботи у класі та вдома

Створити тест