Тригонометрія (нерівності та одна система)

Додано: 1 березня 2025
Предмет: Алгебра, 10 клас
11 запитань
Запитання 1

1.Розв'язати нерівність.

варіанти відповідей

-п/4+пn<x<п/2+пn; n

-п/3+пn<x<п/2+пn; n

-п/4+пn<x<-п/2+пn; n

п/4+пn<x<-п/2+пn; n

Запитання 2

2.Розв'язати нерівність.

варіанти відповідей

 7п/4+2пn<x<п/4+2пn; n

 -п/4+2пn<x<7п/4+2пn; n

 п/4+2пn<x<7п/4+2пn; n

 п/4+2пn<x<-7п/4+2пn; n

Запитання 3

3.Розв'язати нерівність.

варіанти відповідей

пn<x<5п/6+пn; n∈ℤ

пn<x≤5п/6+пn; n∈ℤ

пn/2<x≤5п/6+пn; n∈ℤ

пn≤x≤5п/6+пn; n∈ℤ

Запитання 4

4.Розв'язати нерівність.

варіанти відповідей

-п/12+2п/3n<x<п/12+2п/3n; n

-5п/12+2п/3n≤x<п/12+2п/3n; n

5п/12+2п/3n<x<п/12+2п/3n; n

-5п/12+2п/3n<x<п/12+2п/3n; n

Запитання 5

5.Розв'язати нерівність.

варіанти відповідей

7п/12+2пn≤x≤11п/12+2пn; n

7п/12+2пn≤x≤п/12+2пn; n

-7п/11+2пn≤x≤11п/12+2пn; n

7п/11+2пn≤x≤11п/12+2пn; n

Запитання 6

6.Розв'язати нерівність.


варіанти відповідей

5п/9+4п/3n≤x<п/3+4п/3n; n

-5п/9+4п/3n≤x<-п/3+4п/3n; n

-5п/9+4п/3n≤x<п/3+4п/3n; n

5п/9+4п/3n≤x<-п/3+4п/3n; n

Запитання 7

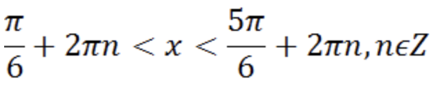
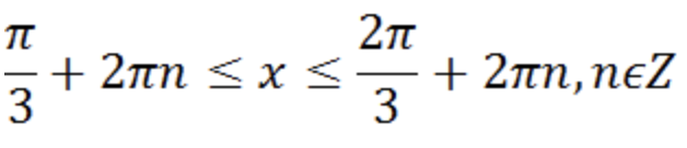
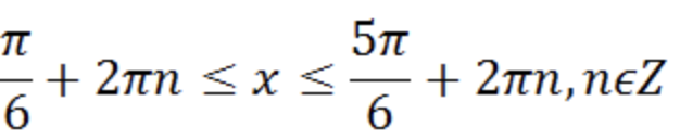
7.Розв'язати нерівність.

варіанти відповідей
Запитання 8

8.Розв'язати нерівність.

варіанти відповідей
Запитання 9

9.Розв'язати систему.

варіанти відповідей

(2пn;п/2+2пn).n

(пn;п/2+2пn).n

(2пn;3п/2+2пn).n

(п/2+2пn;2пn).n

Запитання 10

10.Встановити відповідність.

варіанти відповідей

1-А 2-Д 3-Г 4-В

1-Д 2-А 3-В 4-Г

1-Д 2-А 3-Г 4-В

1-Д 2-А 3-Г 4-Б

Запитання 11

11.Розв'язати нерівність.

варіанти відповідей

Створюйте онлайн-тести
для контролю знань і залучення учнів
до активної роботи у класі та вдома

Створити тест