Узагальнення та систематизація знань з теми «Фізика атома та атомного ядра. Фізичні основи атомної енергетики»

36 запитань
Запитання 1

В якому році Дж.Томсон запропонував одну із перших моделей атома?

варіанти відповідей

1904

1924

1903

1914

Запитання 2

Що вивчав у дослідах Е.Резерфорд?

варіанти відповідей

розсіювання бета-частинок

розсіювання гамма-частинок

поділ ядер

розсіювання альфа-частинок

Запитання 3

Реакцію, яка супроводжується звільненням нейтронів під час розпаду ядра, які в свою чергу спричиняють поділ інших ядер, називають ...

варіанти відповідей

... термоядерною реакцією;

... ланцюговою ядерною реакцією;

... ядерним циклом;

... хімічною реакцією.

Запитання 4

В ядерному реакторі ядерне паливо міститься всередині ...

варіанти відповідей

... регулюючих стрижнів;

... парогенератора;

... тепловидільних елементів (ТВЕЛів).

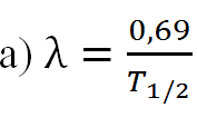
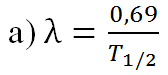
Запитання 5

Фізичну величину, яка характеризує радіонуклід і дорівнює часу, протягом якого розпадається половина наявної кількості ядер даного радіонукліда, називають...

варіанти відповідей

... активністю радіонукліда;

... періодом піврозпаду;

... сталою радіоактивного розпаду;

... частотою піврозпаду.

Запитання 6

Сталу радіоактивного розпаду радіонукліда позначають ...

варіанти відповідей

... А;

... N;

... λ;

... Т.

Запитання 7

Одним з ефективних шляхів лікування різного роду пухлин при онкозахворюваннях є використання...

варіанти відповідей

... α-випромінювання;

... β-випромінювання;

... γ-випрмінювання.

Запитання 8

Дописати рівняння ядерної реакції 14 N + 4 He → ... + 1 H.

варіанти відповідей

17 O

16 O

17 Fe

19 Fe

Запитання 9

Що таке нуклід?

варіанти відповідей

нуклеїнова кислота

ліквідатор Чорнобильської аварії

ядро ізотопу

ядерний гідроліз

Запитання 10

Альфа-частинка – це:

варіанти відповідей

ядерний магнетон, що випромінює альфа-хвилі

ізотоп радону

символічне позначення протоматерії

ядро гелію

Запитання 11

Атомні ядра складаються з:

варіанти відповідей

електронів і позитронів

протонів і нейтронів

електронів і нейтронів

нейтрино й антинейтрино

Запитання 12

Бета-частинка – це:

варіанти відповідей

електрон або позитрон ядерного походження

символічне позначення складових бета-каротину

дублюючий ген мутагенного ДНК

немає такої частинки

Запитання 13

Елементарні частки, що входять до складу атомного ядра, поєднуються під загальною назвою:

варіанти відповідей

нейрон

нейтрон

нуклон

нуклід

Запитання 14

Маса атома зосереджена в основному в:

варіанти відповідей

електронах

ядрі

гамма-квантах

розподілена рівномірно

Запитання 15

Атом складається з

варіанти відповідей

ядра і електронів,що рухаються навколо нього по орбітах

ядра і протонів,що рухаються навколо нього по орбітах

суцільного ядра,в яке "вкраплені" електрони

Запитання 16

Е.Резерфорд у своїх дослідах використав:

варіанти відповідей

платинову фольгу та мідний контейнер

золоту фольгу та свинцевий контейнер

срібну фольгу і цинковий контейнер

Запитання 17

Ізотопи - це

варіанти відповідей

Різновиди атомів,які мають різну кількість протонів

Різновиди атомів,які мають різну кількість електронів

Різновиди атомів,які мають різну кількість нейтронів

Запитання 18

Сили,які діють між протонами і нейтронами в ядрі називаються

варіанти відповідей

ядерними

нейтральними

радіоактивними

Запитання 19

Бета-випромінювання - це

варіанти відповідей

потік ядер гелію

потік електронів

потік фотонів

потік ЕМВ

Запитання 20

Період піврозпаду- це

варіанти відповідей

час,протягом якого розпадається половина наявної кількості ядер

час,протягом якого розпад відбудеться раз у півроку

половина часу, за який відбудеться 1/2 розпаду наявної кількості ядер

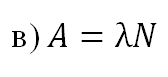
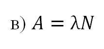
Запитання 21

Формула активності

варіанти відповідей

А=λN

А=λ/N

А=1/2λN

Запитання 22

Випромінювання природних радіонуклідів і космічне випромінювання створюють:

варіанти відповідей

штучний радіаційний фон

природний радіаційний фон

ультрафіолетовий радіаційний фон

інфрачервоний радіаційний фон

Запитання 23

Радіаційне опромінення впливає на організм людини таким чином:

варіанти відповідей

спершу відчуває вплив кістковий мозок,порушується процес кровообігу

спершу відчуває вплив серце,порушується процес серцевого ритму

спершу відчуває вплив щитовидна залоза,порушується репродуктивність

спершу відчуває вплив легені,порушується процес дихання

Запитання 24

Пристрій, призначений для здійснення керованої ланцюгової реакції поділу, яка завжди супроводжується виділенням енергії.

варіанти відповідей

Радіометр

Дозиметр

Ядерний реактор

Саркофаг

Запитання 25

Яка одиниця вимірювання активності радіоактивного джерела?

варіанти відповідей

Бк

Зв 

Гр

1/с

Запитання 26

Процес, у якому одна проведена реакція викликає подальші реакції такого самого типу.

варіанти відповідей

Радіоактивність

Ланцюгова ядерна реакція

Розщеплення ядра             

Термоядерний синтез

Запитання 27

Яка одиниця вимірювання сталої радіоактивного розпаду радіонукліда?

варіанти відповідей

Бк

Зв 

Гр

1/с

Запитання 28

Формула для обчислення еквівалентної дози йонізуючого випромінювання.

варіанти відповідей
Запитання 29

Скільки протонів і скільки нейтронів міститься в ядрі атому Титану ? 

варіанти відповідей

A=22; Z=48; N=48-22=26

A=48; Z=26; N=22

A=22; Z=26; N=48

A=48; Z=22; N=48-22=26

Запитання 30

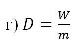
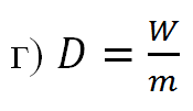
Формула для обчислення поглинутої дози йонізуючого випромінювання.

варіанти відповідей
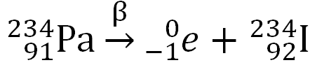
Запитання 31

Вкажіть правильне рівняння β-розпаду для елемента

варіанти відповідей
Запитання 32

Вкажіть правильне рівняння α-розпаду для елемента

варіанти відповідей
Запитання 33

Зараз в Україні діють ...... АЕС

варіанти відповідей

5

2

3

4

Запитання 34

Українська АЕС вважається найбільшою в Європі і 6 у світі. Яка це станція ?

варіанти відповідей

Запорізька

Рівненська

Південноукраїнська

Хмельницька

Сумська

Запитання 35

У якому році сталася трагедія на Чорнобильській АЕС ?

варіанти відповідей

2022

1982

1986

1956

Запитання 36

Оберіть небезпеки від атомної електростанції

варіанти відповідей

Дуже дорого для бюджету країни

Відпрацьовані ТВЕЛи не переробляються і їх важко зберігати

Можливий витік радіації при аварії

Небезпек немає

Створюйте онлайн-тести
для контролю знань і залучення учнів
до активної роботи у класі та вдома

Створити тест