Властивості арифметичного квадратного кореня

Додано: 6 лютого 2025
Предмет: Алгебра, 8 клас
10 запитань
Запитання 1

1.  Знайти значення кореня √0,49


варіанти відповідей

0,07 

0,7

-0,07

-0,7

Запитання 2

Знайти значення кореня (√400)2

варіанти відповідей

-20

200

20

-400

Запитання 3

1.  Знайти значення виразу

варіанти відповідей

9

-9

6,5

-6,5

Запитання 4

Знайдіть значення виразу

варіанти відповідей

4

-4

-8

8

Запитання 5

Знайдіть значення виразу

варіанти відповідей

0,9

-0,9

2,7

27

Запитання 6

Користуючись таблицею квадратів знайдіть значення виразу

варіанти відповідей

86

68

96

84

Запитання 7

Знайти значення виразу √152-92

варіанти відповідей

12

4

6

16

Запитання 8

√1,69+√0,25

варіанти відповідей

1.3  

1.8

0.18

0.13 

Запитання 9

√-625

варіанти відповідей

 -25  

25

 не існує

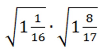
Запитання 10

Обчислити

варіанти відповідей

0,8

1,5

2

1,25

Створюйте онлайн-тести
для контролю знань і залучення учнів
до активної роботи у класі та вдома

Створити тест