Закон Кулона

Додано: 11 березня
Предмет: Фізика, 11 клас
Копія з тесту: Закон Кулона
15 запитань
Запитання 1

Різнойменні заряди


варіанти відповідей

притягуються


не взаємодіють

відштовхуються

Запитання 2


Скільки видів електричних зарядів існує

варіанти відповідей

4

2

3

Запитання 3

Виберіть вірні твердження про елементарні заряди

варіанти відповідей

чисельно більше заряду електрона


чисельно менше заряду електрона


чисельно дорівнює заряду електрона


Запитання 4


Фізичний закон, що описує силу взаємодії між нерухомими точковими електричними зарядами в залежності від відстані між ними

варіанти відповідей

закон Кулона

Закон Ньютона

Закон Фарадея

Запитання 5


Як зміниться модуль сил кулонівського взаємодії двох точкових зарядів, якщо відстань між ними збільшити в 1,5 рази

варіанти відповідей

зменшиться в 2,25 рази


збільшиться в 1,5 рази


збільшиться в 2,5 рази


Запитання 6

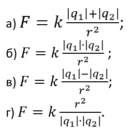
Вкажіть вираз, що є математичним записом закону Кулона: 

варіанти відповідей

А

В

Б

Г

Запитання 7

Як позначають електричний заряд та якими одиницями його вимірюють?

варіанти відповідей

E, Н/Кл

N, одиниць вимірювання немає

q, Кл

e, Н

Запитання 8

Яким приладом можна виявити електричний заряд?

варіанти відповідей

Електроскоп

Електрофен

Гальванометр

Громовідвід

Запитання 9

У міру віддалення від заряду його поле:

варіанти відповідей

посилюється

послаблюється

коливається

не змінюється

намагнічується

Запитання 10

Яка частинка є носієм найменшого (елементарного) негативного заряду?

варіанти відповідей

Електрон

Нейтрон

Протон

Запитання 11

Яке значення має елементарний заряд?

варіанти відповідей

1,6 ⋅ 10 −19 Кл

1,6 ⋅ 10+19 Кл

1,6 ⋅ 10 −18 Кл

Запитання 12

Електричне поле існує

варіанти відповідей

 Навколо тіл, які рухаються

Навколо будь-яких тіл

Навколо заряджених тіл або частинок

у вакуумі

Запитання 13

Як з грецької перекладається слово «електрон»?

варіанти відповідей

Частина

Бурштин

Негативний

Маленький 

Запитання 14

Закон взаємодії нерухомих зарядів встановив (одна правильна)

варіанти відповідей

Тесла

Лейбніц

Ньютон

Кулон

Запитання 15

Сили Кулона напрямлені (одна правильна)

варіанти відповідей

вздовж прямої

по дотичній

від + до -

від - до +

Створюйте онлайн-тести
для контролю знань і залучення учнів
до активної роботи у класі та вдома

Створити тест