Закон всесвітнього тяжіння. Сила тяжіння. Прискорення вільного падіння

Додано: 20 березня 2025
Предмет: Фізика, 9 клас
20 запитань
Запитання 1

Сила гравітаційного притягання двох тіл залежить

варіанти відповідей

Тільки від маси цих тіл

Тільки від відстані між тілами

Тільки від швидкості руху тіл

Від маси тіл і відстані між ними

Запитання 2

Якщо збільшити маси двох матеріальних точок, залишаючи незмінною відстань між ними, то сила їх взаємодії

варіанти відповідей

Не зміниться

Зменшиться

Збільшиться

Може як збільшитися, так і зменшитися, в залежності від співвідношення мас

Запитання 3

При збільшенні відстані від поверхні Землі прискорення вільного падіння

варіанти відповідей

Не змінюється

Зменшується

Збільшується

Може як збільшитися, так і зменшитися

Запитання 4

Яке значення має прискорення вільного падіння на Землі?

варіанти відповідей

10 м/c2

9,8 м/c2

9 м/c2

8,9 м/c2

Запитання 5

Яка фізична величина залишається сталою під час вільного падіння?

варіанти відповідей

Швидкість

Маса

Час

Переміщення

Запитання 6

За якою формулою визначається сила тяжіння?

варіанти відповідей

 F=ma

F=mg

F=m/g

F=mV

Запитання 7

Що таке сила тяжіння?

варіанти відповідей

 Сила, з якою Земля притягує тіло

Сила, що діє на тіло при русі

Сила, що виникає при деформації

Сила, що виникає при терті

Запитання 8

Вкажіть вірне тлумачення другого закону Ньютона.

варіанти відповідей

Прискорення, якого набуває тіло внаслідок дії сили прямо пропорційне цій силі і обернено пропорційне масі тіла.

 В усіх інерціальних системах відліку перебіг механічних явищ і процесів відбувається однаково за однакових початкових умов

Між будь-якими двома тілами діють сили гравітаційного притягання , які прямо пропорційні добутку маси цих тіл і обернено пропорційні квадрату відстані між ними.

Запитання 9

Вкажіть вірне тлумачення першого закону Ньютона

варіанти відповідей

В усіх інерціальних системах відліку перебіг механічних явищ і процесів відбувається однаково за однакових початкових умов.

Існують такі системи відліку . відносно яких тіло зберігає стан спокою , або рівномірного прямолінійного руху , якщо на тіло не діють жодні сили, або дія цих сил скомпенсована.

Запитання 10

Вкажіть вірне тлумачення третього закону Ньютона

варіанти відповідей

  В усіх інерціальних системах відліку перебіг механічних явищ і процесів відбувається однаково за однакових початкових умов

Тіла взаємодіють один з одним із силами які напрямлені вздовж однієї прямої , рівні за модулем і протилежні за напрямком.

В усіх інерціальних системах відліку перебіг механічних явищ і процесів відбувається однаково за однакових початкових умов

Між будь-якими двома тілами діють сили гравітаційного притягання , які прямо пропорційні добутку маси цих тіл і обернено пропорційні квадрату відстані між ними.

Запитання 11

Від яких чинників залежить прискорення вільного падіння?

варіанти відповідей

Від маси тіла

Від збільшення висоти тіла над поверхнею Землі.

Від географічної широти місцевості.

Всі варіанти вірні

Запитання 12

Гравітаційна взаємодія - це ...

варіанти відповідей

взаємодія, яка властива всім тілам у Всесвіті, які мають електричний заряд.

взаємодія, яка властива всім тілам у Всесвіті, які мають магнітні властивості.

взаємодія, яка властива всім тілам у Всесвіті, яка виявляється в їхньому взаємному притяганні одне до одного.

взаємодія, яка властива всім тілам у Всесвіті, які мають розміри більші за розміри Місяця.

Запитання 13

Гравітаційна взаємодія здійснюється за допомогою особливого виду матерії - ...

варіанти відповідей

електричного поля.

магнітного поля.

плазми.

гравітаційного поля.

Запитання 14

Закон всесвітнього тяжіння сформулював ...

варіанти відповідей

Роберт Гук

Галілео Галілей

Ісаак Ньютон

Генрі Кавендіш

Запитання 15

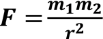
Математичний запис закону всесвітнього тяжіння має вигляд ...

варіанти відповідей
Запитання 16

Гравітаційна стала дорівнює ... , її вперше виміряв ...

варіанти відповідей

6,67 . 10-11 Н⋅м2 /кг2, Г. Кавендіш

6,67 . 10-11 Н⋅м2 /кг2, І. Ньютон

9,8 м/с2, Г. Кавендіш

9,8 м/с2, І. Ньютон

Запитання 17

Скориставшись малюнком, виберіть всі правильні твердження.

варіанти відповідей

Rз - радіус Землі.

h - висота, на якій перебуває тіло

r - радіус.

r = Rз + h - відстань від центра Землі до тіла.

Запитання 18

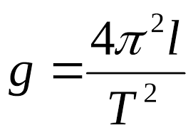
Із закону всесвітнього тяжіння прискорення вільного падіння над поверхнею Землі розраховують за формулою:

варіанти відповідей
Запитання 19

Аналізуючи дану формулу, оберіть правильні відповіді.

варіанти відповідей

Прискорення вільного падіння не залежить від маси тіла.

Прискорення вільного падіння зменшується в разі збільшення висоти тіла над поверхнею Землі.

Прискорення вільного падіння збільшується в разі збільшення висоти тіла над поверхнею Землі.

g = 9,8 м/с2, якщо тіло перебуває на поверхні Землі.

Прискорення вільного падіння залежить від маси тіла і Земл.і

Запитання 20

Експерименти показали: у вакуумі свинцева дробинка, корок і пташине перо падали ...

варіанти відповідей

свинець, корок, перо.

перо, корок, свинець.

свинець, перо, корок.

одночасно.

Створюйте онлайн-тести
для контролю знань і залучення учнів
до активної роботи у класі та вдома

Створити тест