Закони прямолінійного поширення, відбивання та заломлення світла. Побудова зображень у плоскому дзеркалі.

Додано: 17 листопада 2025
Предмет: Фізика, 9 клас
50 запитань
Запитання 1

Як розташовані падаючий промінь, перпендикуляр до границі поділу двох середовищ, побудований у точці падіння променя, і заломлений промінь?

варіанти відповідей

Лежать на одній поверхні 

Лежать на одній прямій

Лежать на одному промені

Лежать в одній площині

Запитання 2

 Якщо кут падіння збільшиться, як зміниться кут заломлення?

варіанти відповідей

Не зміниться

Зменшиться 

Збільшиться

Інша відповідь

Запитання 3

Якщо кут падіння зменшиться, як зміниться кут заломлення? 

варіанти відповідей

Не зміниться

Зменшиться

Збільшиться

Інша відповідь

Запитання 4

Промінь переходить з повітря у скло. Визначте співвідношення між кутами падіння, відбивання і заломлення:

варіанти відповідей

усі кути рівні

кут відбивання найбільший

кут відбивання дорівнює куту падіння, кут заломлення менший

кут відбивання дорівнює куту падіння, кут заломлення більший

Запитання 5

Кут між відбитим і падаючим променями дорівнює 100°. Визначте кут падіння:

  

варіанти відповідей

100°

45°

50°

80°

Запитання 6

Третя частина кута між відбитим і падаючим променями становить 40°. Визначте кут падіння:

варіанти відповідей

40°

50°

60°

80°

120°

Запитання 7

Виберіть значення швидкості світла у вакуумі:

варіанти відповідей

300 000 м/с

3 000 000 м/с

3 000 000 км/с

300 000 км/с

Запитання 8

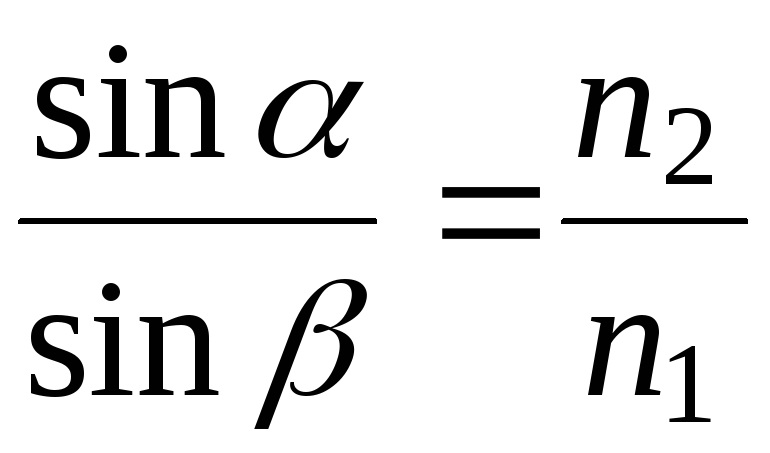
Що значає у формулі літера α ?

варіанти відповідей

Кут між дзеркалом та поверхнею столу

Кут заломлення

Кут відбивання

Кут падіння

Запитання 9

Кут падіння променя на дзеркальну поверхню дорівнює 70° . Чому дорівнює кут між відбитим променем і дзеркальною поверхнею?

варіанти відповідей

30°

150°

70°

20°

170°

35°

Запитання 10

Промінь світла падає з повітря у воду під кутом 60°. Кут між відбитим і заломленим променями становить 80°. Обчисліть кут заломлення променя.

варіанти відповідей

30°

40°

60°

50°

140°

80°

20°

Запитання 11

Як називається зміна напрямку поширення світла під час переходу з одного середовища до іншого?

варіанти відповідей

відбивання

заломлення

поширення

Запитання 12

Яка величина показує у скільки разів швидкість світла у вакуумі більша за швидкість світла в певному середовищі

варіанти відповідей

коефіцієнт поверхневого натягу

коефіцієнт теплового розширення

абсолютний показник заломлення світла

кут відбивання променя

кут заломлення променя

Запитання 13

Світловий промінь, який падає з повітря на поверх­ню води, зазнає відбивання та заломлення. У яко­му з випадків на рисунку правильно показа­но відбитий і заломлений промені?

варіанти відповідей

а

б

Запитання 14

Промінь світла падає на межу між повітрям та склом. Який рисунок правильний?

варіанти відповідей

а

б

в

Запитання 15

В результаті якого явища олівець здається деформованим?

варіанти відповідей

Відбивання світла

Деформації

Це два різні олівці

Заломлення світла

Просто невдалий ракурс з'йомки

Запитання 16

Лінія, що вказує на напрямок поширення енергії світла - це


варіанти відповідей

Джерело світла

Світловий промінь

Приймач світла

Указка

Запитання 17

Фізичне тіло, частинки якого випромінюють світло -

варіанти відповідей

Приймач світла

Джерело знань

Джерело світла

Учитель

Іскра

Запитання 18

Кут заломлення позначається літерою

варіанти відповідей

γ

α

β

Запитання 19

Чим більша оптична густина середовища, тим швидкість поширення світла

варіанти відповідей

Більша

Не змінюється

Менша

Запитання 20

Чим більша оптична густина середовища, тим швидкість поширення світла

варіанти відповідей

Більша

Не змінюється

Менша

Запитання 21

Якщо світло переходить із повітря в воду, тоді кут падіння буде


варіанти відповідей

рівний куту заломлення

 більший за кут заломлення

менший за кут заломлення

Запитання 22

Якщо світло переходить із скла в повітря, тоді кут заломлення буде

варіанти відповідей

менший за кут падіння

більший за кут падіння

рівний куту падіння

Запитання 23

Показник заломлення льоду - 1,31, а показник заломлення скла 2,17. В якому середовищі швидкість поширення світла буде більша.

варіанти відповідей

У склі

У льоді

Однаково

Запитання 24

Абсолютний показник заломлення світла...

варіанти відповідей

показує, у скільки разів швидкість поширення світла в середовищі менша, ніж у повітрі.

показує, на скільки швидкість поширення світла в середовищі менша, ніж у вакуумі.

показує, у скільки разів швидкість поширення світла в середовищі більша, ніж у вакуумі.

показує, у скільки разів швидкість поширення світла в середовищі менша, ніж у вакуумі.

Запитання 25

На яких рисунках зображено промінь світла, що переходить із середовища з більшою оптичною густиною в середовище з меншою оптичною густиною?

варіанти відповідей

2 і 3

1 і 3

2 і 4

1 і 4

3 і 4

1 і 2

Запитання 26

У якому середовищі світло поширюється найшвидше?

варіанти відповідей

Скло

Вода

Вакуум

Повітря

Запитання 27

Чим зумовлене заломлення світла?

варіанти відповідей

Зміною кольору

Впливом температури

Зміною швидкості поширення світла в іншому середовищі

Напругою електричного поля

Запитання 28

Вкажіть відбитий промінь

варіанти відповідей

ОВ

ОА

α

β

Запитання 29

Оберіть пиродні джерела світла

варіанти відповідей

Розпечена лава, полярні сяйва, свічка

Зорі, полярні сяйва, гасова лампа

Зорі, свічка, сонце

Сонце, розпечена лава, полярні сяйва

Запитання 30

Оберіть штучні джерела світла

варіанти відповідей

Вогнище, свічки, оливні та гасові лампи

Вогнище, каганець, Сонце

Зорі, оливні та гасові лампи

Полярне сяйво, вогнище, зорі

Запитання 31

Сонячні затемнення бувають, коли....

варіанти відповідей

тінь від Сонця падає на Землю

тінь від Місяця падає на Землю

тінь від Місяця падає на Сонце

тінь від Землі падає на Місяць

Запитання 32

Закон заломлення світла на межі двох середовищ формулюється так:

варіанти відповідей

падаючий промінь, заломлений промінь і перпендикуляр у точці падіння променя лежать в одній площині.

відношення синуса кута падіння і синуса кута заломлення є сталою величиною для розділюваних двох середовищ.

падаючий промінь, відбитий промінь і перпендикуляр у точці падіння променя лежать в одній площині.

відношення синуса кута падіння і синуса кута заломлення є змінною величиною для розділюваних двох середовищ.

Запитання 33

Назвіть кут заломлення?

варіанти відповідей

∠α

∠β

∠О

∠γ

Запитання 34

На рисунках позначені кути відбиття світлового променя. На якому з них позначення зроблено правильно? 

варіанти відповідей

№ 1

№ 2

№ 3

Запитання 35

На рисунках показано зображення S′ точки S в плоскому дзеркалі. На якому з них допущена помилка

варіанти відповідей

№ 1

№ 2

№ 3

Запитання 36

Кутом відбивання світлового променя називають 

варіанти відповідей

Кут утворений відбитим променем і перпендикуляром, проведеним із точки падіння

Кут між відбитим променем та поверхнею від якої він відбивається

Кут утворений падаючим променем і перпендикуляром, проведеним із точки падіння

Запитання 37

На рисунках позначені кути падіння світлового променя. На якому з них позначення зроблено правильно? 

варіанти відповідей

№ 1

№ 2

№ 3

Запитання 38

На рисунках представлені зображення предметів (стрілок) у плоскому дзеркалі. На якому з них зображення показано правильно? 

варіанти відповідей

№ 1

№ 2

№ 3

Запитання 39

Чому дорівнює кут відбивання, якщо кут падіння дорівнює 50°? 

варіанти відповідей

25°

50°

100°

40°

130°

Запитання 40

Перед дзеркалом стоїть кіт на відстані 2 м від нього. Чому дорівнює відстань між котом та його зображенням? 

варіанти відповідей

1 м

4 м

2 м

Запитання 41

Світлові промені від дзеркала

варіанти відповідей

відбиваються

поглинаються

заломлюються

Запитання 42

Що таке оптика?

варіанти відповідей

Розділ фізики, що вивчає механічні явища.

Розділ фізики, що вивчає теплові явища.

Розділ фізики, що вивчає світлові явища.

Розділ фізики, що вивчає електричні явища.

Запитання 43

Промінь світла падає з повітря на поверхню скляної пластини. На якому з наведених рисунків правильно зазначено всі три кути: кут падінняα, кут відбивання β і кут заломлення γ ?

варіанти відповідей
Запитання 44

Зображення предмета у плоскому дзеркалі…

варіанти відповідей

дійсне

збільшене

уявне

зменшене

Запитання 45

Закони світла:

варіанти відповідей

Закон розповсюдження світла.

Закон заломлення світла.

Закон прямолінійного поширення світла.

Закон відбивання світла.

Запитання 46

При якому відбиванні ми не отримуємо зображення?

варіанти відповідей

Дзеркальне

Дифузне

Запитання 47

Оберіть усі вірні характеристики зображення предмета в плоскому дзеркалі.

варіанти відповідей

дійсне

уявне

збільшене

зменшене

рівне за розміром предмету

 розташоване на такій самій відстані від дзеркала, як і сам предмет

пряме

обернене

Запитання 48

На якій території спостерігається часткове затемнення Сонця?

варіанти відповідей

АБ і БВ

БВ і ВГ

АБ і ВГ

БВ

АБ

ВГ

АБ, БВ і ВГ

Запитання 49

Що є точковим джерелом світла? 

варіанти відповідей
Запитання 50

Що є штучним джерелом світла? 

варіанти відповідей

Створюйте онлайн-тести
для контролю знань і залучення учнів
до активної роботи у класі та вдома

Створити тест