Арифметичний квадратний корінь. Тотожні перетворення коренів

Додано: 22 грудня 2025
Предмет: Алгебра, 8 клас
20 запитань
Запитання 1

Квадратним коренем із числа a називають

варіанти відповідей

число, при діленні якого на 2 дає a.

число, яке у відповіді дає а

число, квадрат якого дорівнює а

число, яке потрібно помножити або поділити на 2

Запитання 2

(√а) ² =

варіанти відповідей

√а

а½

а²

а

Запитання 3

Розвʼязати рівняння

х² = - 49

варіанти відповідей

 розвʼязку немає

-7

7

-7 і 7

Запитання 4

Який із виразів спрощений вірно?

варіанти відповідей

(5√2-4√3)(5√2+4√3)=-2 ;

(2√3-3√2)(3√2+2√3)= 6 ;

(3√3+2√2)(2√2-3√3)=19

(5√3-3√5)(5√3+3√5)=30 ;

Запитання 5

Винести множник з-під знака кореня:

√50

варіанти відповідей

5√2

2√5

25√2

5√3

Запитання 6

Внесіть множник під знак кореня:

2√16

варіанти відповідей

√12

√18

√24

√36

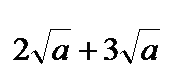
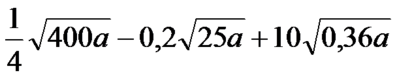
Запитання 7

Спростити

варіанти відповідей

5√а

5

11√а

√5а

Запитання 8

Звільніться від ірраціональності в знаменнику дробу:


варіанти відповідей

6√6

2

3√6

3

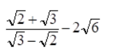
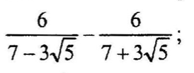
Запитання 9

Звільніться від ірраціональності в знаменнику дробу:

варіанти відповідей

1

√3 - 1

4 (√3 + 1)

2 (√3 - 1)

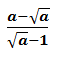
Запитання 10

Скоротіть дріб:

варіанти відповідей

дріб нескоротний

√а

-√а

√а-1

Запитання 11

Обчислити

варіанти відповідей

14

116

18

58

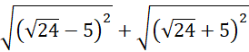
Запитання 12

Знайти значення виразу

варіанти відповідей

-3

-1

√3

3

Запитання 13

Спростити

варіанти відповідей

8√а

6√а

10√а

9√а

Запитання 14

Встановіть відповідність між заданими виразами та їхніми числовими значеннями

варіанти відповідей

1) 5; 2) 6; 3) 3; 4) 2

1) 5; 2) 3; 3) 10; 4) 1√2

1) 3; 2) 6; 3) 3√3; 4) 1

1) 5; 2) 6; 3) 3√3; 4) 2√2

Запитання 15

Обчислити 

варіанти відповідей

3

5√5

5

3√5

Запитання 16

Знайти значення виразу

варіанти відповідей

3

10√3

5

10

Запитання 17

Спростіть вираз

варіанти відповідей

–x²y5

-x²y4

–3x²y4

x²y4

Запитання 18

Обчисліть

варіанти відповідей

6

14

12

4

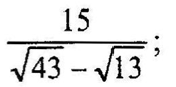
Запитання 19

Звільнитися від ірраціональності в знаменнику дроба

варіанти відповідей

√43 + √13

15√43

(√43 + √13) / 2

6

Запитання 20

Знайдіть значення виразу

варіанти відповідей

3√5 + 7

9√5

7

√5

Створюйте онлайн-тести
для контролю знань і залучення учнів
до активної роботи у класі та вдома

Створити тест