Яка утвориться нерівність, якщо обидві частини нерівності 7>-2 помножити на -3?
Розв’яжіть систему нерівностей:
Розвязати нерівність 12 + 4х ≥ 6х.
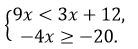
Розв’яжіть систему нерівностей
Установіть відповідність між не рівностями (1-4) та зображеннями множин їх розв'язків на числовій прямій (А-Ґ)
Установіть відповідність між нерівностями (1-4) та проміжками (А-Ґ), що їм відповідають
Відомо, що 2<х<3 і 1<у<4. Оцініть значення виразу х*у
Який із проміжків відповідає рисунку
Який із числових проміжків є розв′язком нерівності x < 12.
Перерізом проміжків [1; 8) і (5; 10] є проміжок
Оберіть усі натуральні розв'язки нерівності х ≤ 3,5
Число 2 належить проміжку (2; +∞)
Число 1 належить проміжку [-1; 1)
Яке число є розвʼязком нерівності: x≤6 ?
8.Розв'язати подвійну нерівність -12≤3у+3≤30
Створюйте онлайн-тести
для контролю знань і залучення учнів
до активної роботи у класі та вдома