Додавання дробів з різними знаменниками

Додано: 7 жовтня 2025
Предмет: Алгебра, 8 клас
12 запитань
Запитання 1

Виконай додавання

варіанти відповідей
Запитання 2

Виконай віднімання

варіанти відповідей
Запитання 3

Запиши суму у вигляді раціонального дробу.

варіанти відповідей

(5n-3)/16

(3n-3)/4

(5n-3)/4

(3n-3)/16

Запитання 4

Виконай додавання раціональних дробів: 

варіанти відповідей
Запитання 5

Запиши суму у вигляді раціонального дробу.

варіанти відповідей

23t/14n2

22t/14n

23t/14n

4t/9n

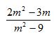
Запитання 6

Виконай віднімання

варіанти відповідей
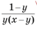
Запитання 7

Перетвори вираз у дріб.

варіанти відповідей
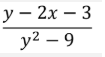
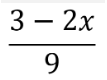
Запитання 8

Виконайте дії

варіанти відповідей
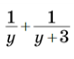
Запитання 9

Виконайте дії

варіанти відповідей
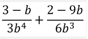
Запитання 10

Виконайте віднімання дробів:

варіанти відповідей

інша відповідь

Запитання 11

Додайте дроби:

варіанти відповідей
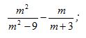
Запитання 12

Відніміть дроби: 

варіанти відповідей

5m

m/3n

21m/5n

m/n

m/5n

Створюйте онлайн-тести
для контролю знань і залучення учнів
до активної роботи у класі та вдома

Створити тест