ЕК № 29. Система двох рівнянь із двома змінними.як математична модель прикладної задачі. Варіант 1

Додано: 15 січня
Предмет: Алгебра, 9 клас
3 запитання
Запитання 1

Одне з чисел на 4 більше за інше. Знайдіть ці числа, якщо їх добуток дорівнює 5. 

Нехай х – це більше число, а у – менше число. Яке з наведених рівнянь відповідає першій умові задачі? 

варіанти відповідей

у х = 4.

ху = 4.

х = 4 − у.  

у = 4 – х.

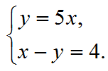
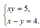
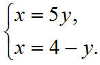
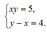
Запитання 2

Одне з чисел на 4 більше за інше. Знайдіть ці числа, якщо їх добуток дорівнює 5.

Нехай х – це більше число, а у – менше число.


Яка з систем рівнянь відповідає умові задачі?


варіанти відповідей
Запитання 3

Одне з чисел на 4 більше за інше. Знайдіть ці числа, якщо їх добуток дорівнює 5.

Нехай х – це більше число, а у – менше число.


Які пари чисел є розв’язками задачі?


варіанти відповідей

х = 5; у = 1

х = 5; у = 1 або х = – 1; у = – 5

х = 1; у = 5

х = 5; у = – 1 або х = 1; у = – 5

Створюйте онлайн-тести
для контролю знань і залучення учнів
до активної роботи у класі та вдома

Створити тест