ЕК 7 клас Розв’язування систем лінійних рівнянь з двома змінними способом підстановки

Додано: 16 квітня
Предмет: Алгебра, 7 клас
3 запитання
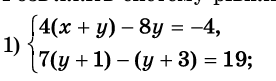
Запитання 1

Для раціонального розв'язання даної системи потрібно на першому кроці виконати...

варіанти відповідей

множення 1 рівняння на 7, а другого - на 3

відкриття дужок

не можливо виконати завдання

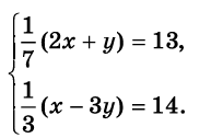
Запитання 2

Вкажіть дії, які потрібно виконати, щоб розв'язати дану систему рівнянь способом підстановки.

варіанти відповідей

згрупувати невідомі члени рівняння у лівій частині рівняння, а відомі- в правій частині

звести подібні доданки

відкрити дужки

виразити одну змінну через іншу з одного рівняння і підставити в інше

знайти невідомі змінні та записати відповідь

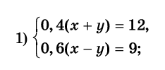
Запитання 3

Вкажіть, яку дію найкраще виконати першою під час розв'язування даної системи

варіанти відповідей

помножити на 10

поділити 1 рівняння на 0,4, а друге - на 0,6

відкрити дужки

виразити х через у з першого рівняння

Створюйте онлайн-тести
для контролю знань і залучення учнів
до активної роботи у класі та вдома

Створити тест