Електромагнітні хвилі

Додано: 13 лютого
Предмет: Фізика, 11 клас
12 запитань
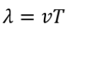
Запитання 1

Формула для обчислення довжини хвилі.

варіанти відповідей
Запитання 2

Відстань, на яку поширюється електромагнітна хвиля за один період, називається

варіанти відповідей

фазою

частотою

довжиною хвилі

амплітудою 

Запитання 3

Укажіть основні характеристики електромагнітної хвилі

варіанти відповідей

Довжина хвилі 

Маса хвилі

Частота хвилі

Швидкість хвилі

Запитання 4

  Джерелом електромагнітної хвилі є…

варіанти відповідей

Заряджена частинка, що рухається з прискоренням

Незаряджена частинка, що рухається з прискоренням

Нерухома заряджена частинка

Будь-яка частинка

Запитання 5

Яка швидкість поширення електромагнітних хвиль у вакуумі?

варіанти відповідей

300 км/с

30 000 км/

 3 000 000 км/с

300 000 км/с 

Запитання 6

Хто створив теорію електромагнітного поля?

варіанти відповідей

Х. Гюйгенс 

Дж. Максвелл 

Г. Герц

 І. Ньютон

Запитання 7

Електромагнітна хвиля характеризується довжиною хвилі, частотою і швидкістю поширення. Який з цих параметрів не змінюються під час переходу з одного середовища в інще?

варіанти відповідей

Довжина хвилі

Частота хвилі

Швидкість хвилі

Всі змінюються

Запитання 8

Яка фізична величина змінюється в електромагнітній хвилі?

варіанти відповідей

Тільки напруженість електричного поля

Тільки індукція магнітного поля 

Обидва вектори Е та B, що коливаються у взаємно перпендикулярних площинах

Маса частинок середовища

Запитання 9

Електромагнітна хвиля є:

варіанти відповідей

Поперечною хвилею

Поздовжньою хвилею

Поєднанням поздовжніх та поперечних коливань

Стоячою хвилею у будь-якому середовищі

Запитання 10

Генріх Герц у своїх дослідах вперше отримав електромагнітні хвилі за допомогою:

варіанти відповідей

Трансформатора Тесли

Відкритого коливального контуру (вібратора)

 Лазера

Постійного магніту, що обертається

Запитання 11

Прилад, який Герц використовував для виявлення (прийому) електромагнітних хвиль, називався:

варіанти відповідей

Резонатор (дротяна петля з іскровим проміжком)

Конденсатор

Детекторний приймач

Електроскоп

Запитання 12

Яки властивісті електромагнітних хвиль продемонстрував Герц,

варіанти відповідей

 Заломлення 

Поглинання

Відбивання

Поляризацію

Дифракція

 Інтерференція

 Дисперсія

Створюйте онлайн-тести
для контролю знань і залучення учнів
до активної роботи у класі та вдома

Створити тест