Функція. Область визначення та область значень. Способи задання.

Додано: 13 березня
Предмет: Алгебра, 7 клас
10 запитань
Запитання 1

Як називають незалежну змінну x у функціональній залежності?

варіанти відповідей

Значення функції

Аргумент

Параметр

Область значень

Запитання 2

Що називають областю визначення функції?

варіанти відповідей

 Усі значення, яких може набувати залежна змінна y

Усі значення, яких може набувати незалежна змінна x

Будь-які числа

Координати точок на графіку

Запитання 3

Яким способом задано функцію y = 5x + 1?

варіанти відповідей

Табличним

Графічним

Аналітичним (формулою)

Словесним

Запитання 4

Знайдіть значення функції y = 2x - 3, якщо x = 5

варіанти відповідей

13

7

10

4

Запитання 5

Яке з наведених значень x не входить до області визначення функції

варіанти відповідей

0

-4

4

10

Запитання 6

Функцію задано описом: «Кожному числу відповідає його подвоєне значення». Яка формула відповідає цьому опису?

варіанти відповідей

y = x + 2

y = x2

y = 2x

у=2:х

Запитання 7

Укажіть область визначення функції y = x + 5

варіанти відповідей

Усі числа, крім x = 5

Усі числа, крім x = -5

Усі числа

Тільки додатні числа

Запитання 8

Множина всіх значень, яких набуває залежна змінна y, називається:

варіанти відповідей

Областю визначення

Областю значень

Графіком функції

Аргументом

Запитання 9

При якому значенні аргументу значення функції y = 0,5x + 4 дорівнює 10?

варіанти відповідей

12

8

28

6

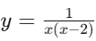
Запитання 10

Яка область визначення функції

варіанти відповідей

Усі числа, крім x = 0

Усі числа, крім x = 2

Усі числа, крім x = 0 та x = 2

Усі числа

Створюйте онлайн-тести
для контролю знань і залучення учнів
до активної роботи у класі та вдома

Створити тест