інтеграл та його застосування

Додано: 28 січня
Предмет: Алгебра, 11 клас
11 запитань
Запитання 1

Знайти загальний вигляд первісної для функції f (x) = 5/x + 3cosx-8

варіанти відповідей


.F(x)=5ln∣x∣+3sinx-8x+c

F(x)=5x2-3sinx+c

F(x)=2,5x-2+3cosx-4x2+c

F(x)=5x-2+sin3x-8x+c

Запитання 2

Для заданої функції знайти первісну, графік якої проходить через дану точку:

y= 3x2-4x+5, A (2;6).

варіанти відповідей

F(x)= 6x-2x2+2

F(x)= x3-2x2+5x-6

F(x)=x3-2x2+5x-4

F(x)=6x-4

Запитання 3

Знайти площу заштрихованої фігури

варіанти відповідей

6,8

16,6

1,4

6,2

Запитання 4

Обчислити площу фігури обмеженої лініями

варіанти відповідей

5,5 кв.од.

4 кв.од.

4,5 кв.од.

10,5 кв .од.

5 кв.од.

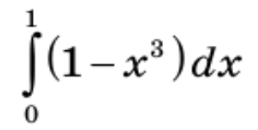
Запитання 5

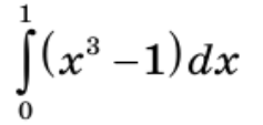
Обчисліть інтеграл

варіанти відповідей

10,5

11

9

9,5

12

Запитання 6

Задано функцію y=3x. Які з наведених тверджень є правильними?

I. Будь-яка первісна цієї функції є парною.

II. Графік будь-якої первісної цієї функції проходить через точку O(0;0).

III. Графік будь-якої первісної цієї функції не перетинає вісь x.




варіанти відповідей

лише І

лише ІІ

лише ІІІ

лише І та ІІІ

лише ІІ та ІІІ

лише І та ІІ

І, ІІ, ІІІ

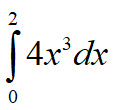
Запитання 7

Обчисліть визначений інтеграл

варіанти відповідей

чотири

мінус чотири

вісім

шістнадцять

Запитання 8

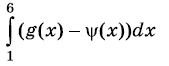
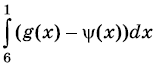
За якою формулою можна обчислити площу заштрихованої фігури?

варіанти відповідей
Запитання 9

Якими лініями обмежена фігура, зображена на рисунку?

варіанти відповідей

f(x) = x2, x=2, y=0

f(x) = x2, x=0, y=2

f(x) = x3, x=2, y=0

f(x) = x3, x=0, y=2

Запитання 10

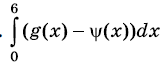
За допомогою якого виразу можна обчислити площу заштрихованої фігури

варіанти відповідей
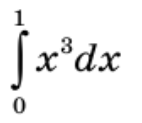
Запитання 11

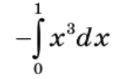
Обчислити інтеграл і вибрати правильну відповідь

варіанти відповідей

0

1

√2⁄2

√2

2

Створюйте онлайн-тести
для контролю знань і залучення учнів
до активної роботи у класі та вдома

Створити тест