Контрольна робота №2 " Степенева функція. Корінь n-ого степеня. Ірраціональні рівняння"

Додано: 19 листопада 2025
Предмет: Математика, 10 клас
7 запитань
Запитання 1

Областю значень функції зображеної на малюнку є проміжок

варіанти відповідей

Е(у)=(0;+∞)

Е(у)=(-∞;0) ∪(0;+∞)

Е(у)=[0;+∞)

Е(у)=(-∞;+∞)

Запитання 2

Обчислити: √81 - ∜125⋅∜5

варіанти відповідей

-5

-4

4

3

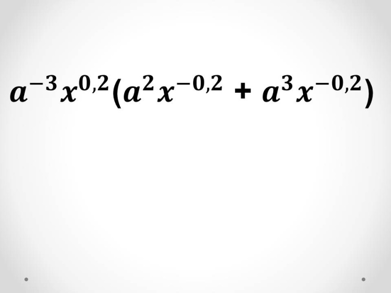
Запитання 3

Спростити:

варіанти відповідей

a-1 + 1

a + 1

a-1

a-1 + x

Запитання 4

Обчислити:

варіанти відповідей

8,2

11,8

- 35

55

Запитання 5

    Укажіть проміжок, якому належить корінь рівняння

варіанти відповідей

(-20; -10)

(-10; -5)

(-5; 5)

(5; 10)

Запитання 6

Розв'язати ірраціональні рівняння



Надіслати розв'язок для перевірки

варіанти відповідей

Надсилаю

Не надсилаю

Запитання 7

Знайти область визначення функції


Надіслати область визначення функції

варіанти відповідей

Надсилаю

Не надсилаю

Створюйте онлайн-тести
для контролю знань і залучення учнів
до активної роботи у класі та вдома

Створити тест