Контрольна робота № 4 з теми «Молекулярна фізика (Властивості газів)» 4 варіант

Додано: 12 листопада 2025
Предмет: Фізика, 10 клас
8 запитань
Запитання 1

Хаотичний рух видимих у мікроскоп малих макрочастинок, завислих у рідині або газі, який відбувається під дією ударів молекул рідини або газу. (1 бал)



варіанти відповідей

а) Броунівський рух                     

б) Механічний рух


в) Тепловий рух                            

  г) Біологічний рух

Запитання 2

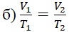
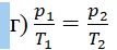
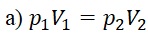
Який вигляд має рівняння Клапейрона? (1 бал)

варіанти відповідей
Запитання 3

Яка одиниця вимірювання тиску в СІ? (1 бал)


варіанти відповідей

а) Па                

б) мм рт. ст.               

  в) бар                  

Запитання 4

На рисунку зображені графіки чотирьох процесів зміни стану ідеального газу. Який із процесів є ізохорним нагріванням? (1 бал)



варіанти відповідей

а) А              

б) В                

в) С           

г) D

Запитання 5

Яка температура газу при тиску 100 кПа і концентрації молекул 1025 м–3? (2 бали)


варіанти відповідей

а) Т = 825 К

б) Т = 625 К

в) Т = 725 К

5) Т = 525 К

Запитання 6

Абсолютна температура двох моль ідеального газу зменшилася в 2 рази, а об’єм збільшився в 2 рази. Як змінився при цьому тиск газу? (1 бал)


варіанти відповідей

а) тиск зменшився в 4 рази.

б) тиск збільшиться в 4 рази.

в) тиск зменшився в 2 рази.

г) тиск збільшиться в 2 рази.

Запитання 7

У балоні міститься газ під тиском 2,8 МПа при температурі 280 К. Видаливши половину маси газу, балон перенесли в приміщення з іншою температурою. Яка температура в приміщенні, якщо тиск газу в балоні став рівним 1,5 МПа? (2 бали)

варіанти відповідей

а) Т2 = 200 К

б) Т2 = 400 К

в) Т2 = 500 К

г) Т2 = 300 К

Запитання 8

Дві посудини з газом ємністю 3 л і 4 л з'єднують між собою. У першій посудині газ знаходиться під тиском 200 кПа, а в другій – 100 кПа. Знайдіть тиск, під яким буде знаходитися газ, якщо температура в посудинах однакова та постійна. (3 бали)

варіанти відповідей

а) р = 171 кПа

б) р = 141 кПа

в) р = 151 кПа

г) р = 131 кПа

Створюйте онлайн-тести
для контролю знань і залучення учнів
до активної роботи у класі та вдома

Створити тест