Контрольна робота № 4 з теми «Молекулярна фізика (Властивості газів)» (Варіант2)

Додано: 30 березня
Предмет: Фізика, 10 клас
8 запитань
Запитання 1

Процес, у ході якого один із макроскопічних параметрів (тиск, об’єм, температура) даного газу деякої маси залишається незмінним

варіанти відповідей

Ізотермічний процес  

Ізобарний процес

Ізохорний процес

Ізопроцес

Запитання 2

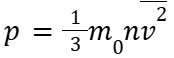
Який вигляд має основне рівняння МКТ ідеального газу?

варіанти відповідей
Запитання 3

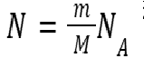
Яка одиниця вимірювання молярної маси?

варіанти відповідей

моль^(–1)

моль/кг

кг/моль

моль

Запитання 4

На VT–діаграмі наведені графіки зміни стану ідеального газу. Яка лінія графіка відповідає ізобарному процесу?

варіанти відповідей

А

Б

В

Г

Запитання 5

Який тиск має газ, якщо в кожному кубічному сантиметрі його міститься 106 молекул, а температура 87 °С?

варіанти відповідей

4,96 нПа

3,96 нПа

5,96 нПа

6,96 нПа

Запитання 6

Як змінився тиск ідеального газу, якщо в даному об’ємі швидкість кожної молекули зменшилася в 2 рази, а концентрація молекул збільшилася в 4 рази?

варіанти відповідей

збільшиться в 4 рази

збільшиться в 2 рази

зменшиться в 2 рази

не зміниться

Запитання 7

Яка температура газу при тиску 100 кПа і концентрації молекул 1025 м^(-3)?

варіанти відповідей

625 К

725 К

825 К

700 К

Запитання 8

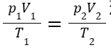
Дві посудини з газом ємністю 3 л і 4 л з'єднують між собою. У першій посудині газ знаходиться під тиском 200 кПа, а в другій – 100 кПа. Знайдіть тиск, під яким буде знаходитися газ, якщо температура в посудинах однакова та постійна.

варіанти відповідей

101 кПа

122 кПа

141 кПа

152 кПа

Створюйте онлайн-тести
для контролю знань і залучення учнів
до активної роботи у класі та вдома

Створити тест