Контрольна робота № 6 з теми «Основи термодинаміки»

Додано: 3 березня
Предмет: Фізика, 10 клас
29 запитань
Запитання 1

Закон збереження та перетворення енергії, записаний для теплових процесів, називають ...

варіанти відповідей

першим законом термодинаміки.

другим законом термодинаміки.

законом Бойля-Маріотта.

законом збереження енергії.

Запитання 2

Перший закон термодинаміки має вигляд ...

варіанти відповідей

Q = ΔU + A

Q = cmΔT

Q = ΔU - A

ΔU = A′ + Q

Запитання 3

Вся теплота, передана газу, йде на збільшення його внутрішньої енергії, тому Q = ΔU. Це застосування першого закону термодинаміки для ...

варіанти відповідей

ізотермічного процесу

ізобарного процесу

ізохорного процесу

адіабатного процесу

Запитання 4

При якому процесі внутрішня енергія газу не змінюється, тому вся теплота, передана газу, йде на виконання газом роботи

Q = А?

варіанти відповідей

ізобарному

ізотермічному

ізохорному

адіабатному

Запитання 5

Оберіть запис першого закону термодинаміки для ізобарного процесу.

варіанти відповідей

Q = ΔU + A

Q = A

Q = ΔU

A = -ΔU

Запитання 6

Процес, який відбувається без теплообміну з навколишнім середовищем, називається ...

варіанти відповідей

ізотермічний

ізобарний

ізохорний

адіабатний

Запитання 7

При ізохорному охолодженні повітря предало довкіллю 15 Дж теплоти. На скільки змінилася внутрішня енергія повітря? Яку роботу воно виконало?

варіанти відповідей

ΔU = 15 Дж; А = 0.

ΔU = -15 Дж; А = 0.

ΔU = 0; А = 15 Дж.

ΔU = 15 Дж; А = 15 Дж.

Запитання 8

При ізобарному процесі для ідеального одноатомного газу кількість теплоти, передана газу разраховується за формулою ...

варіанти відповідей

Q = 3/2⋅VΔp

Q = 5/2⋅VΔp

Q = 5/2⋅pΔV

Q = 2/3⋅VΔp

Запитання 9

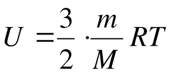
Внутрішню енергію ідеального одноатомного газу визначають за формулою:

варіанти відповідей
Запитання 10

Цикл двигуна внутрішнього згоряння складається з ...

варіанти відповідей

всмоктування, випускання, робочого ходу, охолодження.

нагрівання, запалення, робочого ходу, охолодженя.

всмоктування, стиснення, робочого ходу, випускання.

всмоктування, нагрівання, робочого ходу, випускання.

Запитання 11

Тепловий двигун складається з основних частин:

варіанти відповідей

з нагрівника, компресора і холодильника.

з випарника, компресора і холодильника.

з нагрівника, робочого тіла і холодильника.

з теплообмінника, компресора і холодильника.

Запитання 12

У двигуні внутрішнього згоряння енергія твердого палива ...

варіанти відповідей

перетворюється в механічну енергію зовні двигуна

енергія палива перетворюється в механічну енергію всередині самого двигуна

механічна енергія перетворюється в енергію палива всередині двигуна

механічна енергія поршня перетворюється в енергію палива зовні двигуна

Запитання 13

Для ізобарного нагрівання 800 моль газу на 500 К йому надали кількість теплоти 9,4 МДж. Визначте роботу газу та зміну його внутрішньої енергії. 

варіанти відповідей

A = 2,2 МДж; ∆U = 5,0 МДж.

A =3,3 МДж; ∆U = 6,1 МДж.

A = 4,4 МДж; ∆U = 7,2 МДж.

A = 5,5 МДж; ∆U = 8,3 МДж.

Запитання 14

Формула для розрахунку кількості теплоти при пароутворенні / конденсації речовини:

варіанти відповідей

Q = cmΔt

Q = rm

Q = Lm

Q = λm

Запитання 15

Яку роботу виконав дизельний двигун, який має ККД 40%, якщо в процесі згоряння палива виділилося 44 МДж теплоти?

варіанти відповідей

А = 0,11 МДж.

А = 17,6 МДж.

А = 94,6 МДж.

А = 110 МДж.

Запитання 16

Над газом виконали роботу 50 Дж, при цьому його внутрішня енергія зменшилася на 80 Дж. Яку кількість теплоти одержав (або віддав) газ?

варіанти відповідей

одержав Q = 30 Дж;

віддав Q = 30 Дж;

одержав Q = 130 Дж;

віддав Q = 130 Дж;

Запитання 17

При адіабатному процесі...

варіанти відповідей

Q=0

A=0

ΔU=0

Δp=0

Запитання 18

На малюнку показані різні положення чотиритактного двигуна внутрішнього згоряння. Яке з них вcмоктування?

варіанти відповідей

2

3

4

1

Запитання 19

На малюнку показані різні положення чотиритактного двигуна внутрішнього згоряння. Яке з них стиснення?

варіанти відповідей

2

3

4

1

Запитання 20

На малюнку показані різні положення чотиритактного двигуна внутрішнього згоряння. Яке з них випускання?

варіанти відповідей

2

3

4

1

Запитання 21

На малюнку показані різні положення чотиритактного двигуна внутрішнього згоряння. Яке з них робочий хід?

варіанти відповідей

2

3

4

1

Запитання 22

ККД теплового двигуна можна розрахувати за формулою...

варіанти відповідей

 η=Qх ∕ A

η=A ∕ Qн

η=Qн ∕ A 

η=A ∕ Qх

Запитання 23

Яких видів теплових двигунів не існує?

варіанти відповідей

Реактивні

Парові турбіни

Турбулентні

 Двигуни внутрішнього згоряння

Запитання 24

Який вид теплопередачі неможливий у твердих тілах?

варіанти відповідей

можливі всі види теплопередачі

теплопровідність

конвекція

випромінювання

Запитання 25

При ізобарному процесі передана газу кількість теплоти йде … 

варіанти відповідей

 Ізотермічний

Адіабатний

 Ізохорний

 Ізобарний

Запитання 26

Яким символом позначають внутрішню енергію і якою є її одиниця в СІ?

варіанти відповідей

U; Дж

W; Дж

Q; К

U; В

Запитання 27

Тепловий двигун складається...

варіанти відповідей

з нагрівника і холодильника

 з нагрівника, робочого тіла і холодильника

з впуску, стиснення, робочого ходу і випуску

 із запалювання і робочого ходу

Запитання 28

Процеси, які можуть самочинно відбуватися тільки в одному напрямку, називаються. ..

варіанти відповідей

зворотними

односторонніми

необоротними

Запитання 29

У двигуні внутрішнього згоряння енергія палива...

варіанти відповідей

механічна енергія перетворюється в енергію палива всередині двигуна.

перетворюється в механічну енергію зовні двигуна.

енергія палива перетворюється в механічну енергію всередині самого двигуна.

механічна енергія поршня перетворюється в енергію палива зовні двигуна.

Створюйте онлайн-тести
для контролю знань і залучення учнів
до активної роботи у класі та вдома

Створити тест