Контрольна робота № 7 з теми «Електричне поле» 1 варіант

Додано: 18 листопада 2025
Предмет: Фізика, 10 клас
8 запитань
Запитання 1

Речовини, які добре проводять електричний струм. (1 бал)



варіанти відповідей

а) Діелектрики         

б) Напівпровідники        

в) Провідники          

г) Сегнетоелектрики

Запитання 2

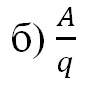
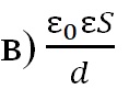
Математичний вираз, що є формулою енергії плоского конденсатора (1 бал)


варіанти відповідей
Запитання 3

Яка одиниця вимірювання різниці потенціалів? (1 бал)


варіанти відповідей

а) Дж          

б) В

в)  Ф                

 г)  Н/Кл

Запитання 4

Як зміниться електроємність плоского повітряного конденсатора, якщо вдвічі збільшити відстань між обкладками? (1 бал)



варіанти відповідей

а) Зменшиться вдвічі                       

б) Зменшиться в 4 рази


в) Збільшиться вдвічі                        

 г) Збільшиться в 4 рази

Запитання 5

Яку напруженість має електричне поле, створене точковим зарядом 6 нКл на відстані 30 см від цього заряду? (2 бали)

варіанти відповідей

а) Е = 900 Н/Кл

б) Е = 500 Н/Кл

в) Е = 600 Н/Кл

г) Е = 300 Н/Кл

Запитання 6

Енергія електричного поля зарядженого конденсатора ємністю 20 мкФ становить 0,1 Дж. Знайти напругу на обкладках конденсатора. (1 бал)

варіанти відповідей

а) U = 200 В

б) U = 100 В

в) U = 150 В

г) U = 120 В

Запитання 7

Визначити ємність батареї конденсаторів (див. рисунок), якщо . (2 бали)

варіанти відповідей

а) С = 1,96 мкФ

б) С = 1,66 мкФ

в) С = 2,56 мкФ

г) С = 1,56 мкФ

Запитання 8

Дві однакові невеликі кульки, кожна з яких має масу 0,9 г, підвішені в одній точці на шовкових нитках завдовжки 30 см кожна. Які однакові заряди необхідно передати кулькам, щоб їхні нитки утворили з вертикаллю кут 45°? (3 бали)


варіанти відповідей

а) q = 0,42 мкКл

б) q = 0,82 мкКл

в) q = 0,32 мкКл

г) q = 0,52 мкКл

Створюйте онлайн-тести
для контролю знань і залучення учнів
до активної роботи у класі та вдома

Створити тест