Контрольна робота. Підсумкова.

Додано: 27 травня 2024
Предмет: Математика, 10 клас
32 запитання
Запитання 1

Щоб знайти точки перетину графіка функції з віссю абсцис, потрібно

варіанти відповідей

знайти нулі функції

знайти нулі похідної

Запитання 2

Відомо, що функція у=f(x) - парна. Укажіть її графік.

варіанти відповідей
Запитання 3

Укажіть область визначення функції f(x) =x + 4/х.

варіанти відповідей

D(f)= R

D(f) =(0; +∞)

D(f) = (-∞; 0) ∪ ( 0; +∞)

Запитання 4

Знайдіть похідну функції у = х3 + cos x.

варіанти відповідей

3x2 - sinx

3x2 + cosx

Запитання 5

Яке з рівнянь не має коренів?

варіанти відповідей

cos x = 1/3

sin x = 4/3

Запитання 6

Спростити вираз 1 - sin2α - cos2α =

варіанти відповідей

2

0

Запитання 7

Розв'язати рівняння

варіанти відповідей

9

3

Запитання 8

Обчислити ∜81

варіанти відповідей

9

3

Запитання 9

Запишіть за означенням степеня з дробовим показником у вигляді кореня: 32/5

варіанти відповідей

5√32

√35

Запитання 10

На проміжку [2; 5] знайдіть найбільше і найменше значення

функції:

f(x) = -10/x

варіанти відповідей

max = -2

min = -2

max = -5

min = -5

Запитання 11

Через які точки проходить графік функції y = x-5 ?

варіанти відповідей

A (0; 0);

B (4; 64);

C –1/2; –32);

D (–3; 81)

Запитання 12

Знайдіть значення виразу: (3–3,5)5 : 3–1,5 ∙ 314



варіанти відповідей

9

1/9

3

1/3

Запитання 13

Яка з рівностей НЕ є тотожністю?

А) cos 2α = cos 2α − sin 2α

Б) sin 2α + cos 2α = 1;

В) tg α =cos α ∕ sin α;

Г) sin 2α = 2sin αcos α.

варіанти відповідей

А

Б

В

Г

інша відповідь

Запитання 14

Обчисліть cos 240⁰.

варіанти відповідей

1/2

-1

√3/2

-1/2

Запитання 15

Спростити вираз:

1 - sin2 α - cos2 α =

варіанти відповідей

1

0

2cos2α

-2

Запитання 16

Записати у вигляді многочлена: (а – 10)(а + 10) = 

варіанти відповідей

а) а2 – 100 

б) а2-10

в) інша відповідь

г) а2 – 20

Запитання 17

Обчисліть значення виразу:

варіанти відповідей

49/16

7/4

343/64

7/1024

Запитання 18

Знайти значення виразу ∜28

варіанти відповідей

√2

∜2

4

2

Запитання 19

На рисунку зображено графік функції, визначеної на проміжку [-4; 5]. Вкажіть проміжок зростання

варіанти відповідей

[-2; 2]

[2; 4]

[-4; 3]

Запитання 20

Функцію задано формулою. Знайти f(2)

варіанти відповідей

2

-4

6

Запитання 21

За графіком вкажіть нулі функції

варіанти відповідей

х=3, х=1, х=5

х=-2, х=1, х=0

х=-3, х=-1, х=4

Запитання 22

Розв'яжіть нерівність х2 + 2х - 3 < 0

варіанти відповідей

(-∞;-3) ∪ (1;+∞)

(-3;1)

(-∞;-3] ∪ [1;+∞)

[-3;1]

Запитання 23

Укажіть область визначення даної функції

варіанти відповідей

(− ∞; 9]

(− ∞; 9)

(− ∞; + ∞)

(− ∞; − 9)

Запитання 24

Визначте область визначення функції

варіанти відповідей

[-2;3]

[-5;6]

(-∞;+∞)

правильної відповіді немає

Запитання 25

Визначіть область значень функції

варіанти відповідей

[-5;6]

[-2;2]

[-2;3]

Правильної відповіді немає

Запитання 26

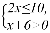
Укажіть проміжок, що є розв’язкам системи нерівностей:

варіанти відповідей

( - 6; 5 ]

( - 6; 5 )

[ - 6; 5 ]

 (- 6; -5)

Запитання 27

Розв'яжіть рівняння 2 cos x = 1

варіанти відповідей

Немає розв'язків

x = +- п/3 + 2Пk, kєZ

x = 2Пk, kєZ

x =П + 2Пk, kєZ

Запитання 28

Розв'язати рівняння

sin (3x-π⁄6)=½

варіанти відповідей

(-1)nπ⁄18 +π⁄18+πn⁄3, n∊ℤ

(-1)nπ⁄6 +π⁄6+πn, n∊ℤ

(-1)nπ⁄8 +π⁄8+πn⁄4, n∊ℤ

(-1)nπ⁄3 +π⁄3+πn, n∊ℤ

Запитання 29

Знайдіть похідну функції: у=5х2-1 у точці х0= -3

варіанти відповідей

-30

44

45

інша відповідь

Запитання 30

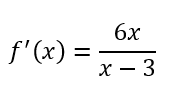
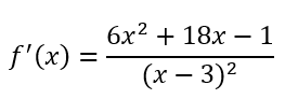
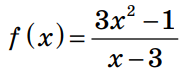
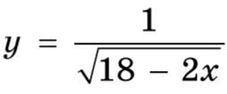
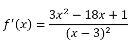
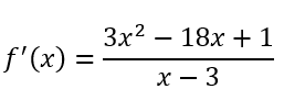
Знайти похідну функції:

варіанти відповідей
Запитання 31

Знайти проміжки зростання функції у=2+24х-3х23

варіанти відповідей

 (-2;4)

 (-4;2)

(-∞;-2) і (4; +∞)

 (-∞;-4) і (2; +∞)

Запитання 32

Знайти значення похідної в точці х0=-1

у=(х2-1)(х3+х)

варіанти відповідей

4

-6

-7

0

Створюйте онлайн-тести
для контролю знань і залучення учнів
до активної роботи у класі та вдома

Створити тест