Контрольна робота. Функція. Степенева функція. Корінь n - го степеня. Ірраціональні рівняння.

14 запитань
Запитання 1

Подайте вираз у вигляді степеня з основою у;

варіанти відповідей

у-7

у7

у4

у6

Запитання 2

Обчисліть:

варіанти відповідей
Запитання 3

Розв'яжіть рівняння

варіанти відповідей

0

-3

-2

3

Запитання 4

Розв'яжіть рівняння.

варіанти відповідей

0

2

3

- 3

Запитання 5

Розв'яжіть рівняння.: √4х-5 =√2х+7

варіанти відповідей

0

5

6

інша відповідь

Запитання 6

Розв'яжіть рівняння: ∛2х = 4

варіанти відповідей

32

2

8

4

Запитання 7

Спростити ∛125 - ∜16 +√49

варіанти відповідей

28

8

10

інша відповідь

Запитання 8

Обчисліть ∛8 + ∜81

варіанти відповідей

11

5

7

інша відповідь

Запитання 9

Укажіть функцію, графіком якої є пряма.

варіанти відповідей

у=х²

у= 2х

 у= 2/х +6

у= х² - 2х

у= 2/х

Запитання 10

Область значення функції - ....

варіанти відповідей

всі значення, які може набувати у

всі значення, які може набувати х

всі значення, що є розв'язками

не знаю правильну відповідь

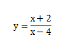
Запитання 11

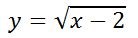
Знайти область визначення функції

варіанти відповідей

 всі числа

( -∞ ; -3) і (3; ∞ )

(-3 ; 3)

 ( -∞ ; -3] і [3; ∞ )

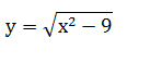
Запитання 12

Знайти область визначення функції


варіанти відповідей

всі, крім 2

всі, крім 4

всі, крім -4

всі числа

Запитання 13

Виберіть формулу для графіка функції зображеної на малюнку

варіанти відповідей

y=x2-3

y=(x-3)2

 y=x2+3

  y=(x+3)2

Запитання 14

Виберіть формулу для графіка функції зображеної на малюнку

варіанти відповідей

Створюйте онлайн-тести
для контролю знань і залучення учнів
до активної роботи у класі та вдома

Створити тест