НМТ 1

Додано: 27 жовтня 2025
Предмет: Математика, 11 клас
Копія з тесту: НМТ 1
20 запитань
Запитання 1

На діаграмі відображено інформацію про кількість проданих телевізорів у супермаркеті побутової техніки протягом перших шести місяців року. Яке з наведених тверджень є правильним?

варіанти відповідей

найменшу кількість телевізорів продано у квітні

у січні продано 240 телевізорів

у березні продано телевізорів більше, ніж у лютому

у червні продано менше трьохсот телевізорів

Запитання 2

Кожен із 40 учасників семінару має бути забезпечений двома однаковими пляшками води. Укажіть найменшу кількість упаковок, кожна з яких містить 12 пляшок води, яких вистачить для всіх учасників семінару.

варіанти відповідей

8

7

6

3

Запитання 3

На рисунку зображено пряму трикутну призму. Її бічною гранню є...

варіанти відповідей

трикутник

паралелограм, що не є прямокутником

відрізок

прямокутник

Запитання 4

Розв’яжіть рівняння х2 – 8х +15 = 0.

варіанти відповідей

3; -5

3; 5

-3; 5

-3; -5

Запитання 5

На рисунку зображено паралелограм АВСD, точка В лежить на прямій МС. Визначте градусну міру кута СDА, якщо кут MBA = 25o.

варіанти відповідей

1150

650

1750

1550

1650

Запитання 6

На рисунку зображено графік функції y = f (x), визначеної на проміжку [–1; 4]. Укажіть поміж наведених координати точки, що належить цьому графіку.

варіанти відповідей

(2; 0)

(–2; 4)

(0; 1)

(–2; 2)

(4; –2)

Запитання 7

Спростити вираз

варіанти відповідей

2 – а2

2 – а

√2 - а2

2 - √а

∜2 - а2

Запитання 8

Значення температури F за шкалою Фаренгейта пов’язане зі значенням температури С за шкалою Цельсія співвідношенням F = 1,8 × C + 32. Скільки градусів показуватиме термометр зі шкалою Фаренгейта, якщо за таких самих умов термометр зі шкалою Цельсія показуватиме 50oС?

варіанти відповідей

– 10 oF

41 oF

122 oF

10 oF

932 oF

Запитання 9

9.

варіанти відповідей

2 ⁄ х3

2 ∕ х4

4 ∕ х3

3 ∕ 2х4

1 ∕ 2х

Запитання 10

Які з наведених тверджень є правильними?

І.   Протилежні сторони будь-якого паралелограма рівні.

ІІ. Довжина сторони будь-якого трикутника менша за суму довжин двох інших його сторін.

ІІІ. Довжина сторони будь-якого квадрата вдвічі менша за його периметр.

варіанти відповідей

лише І та ІІ

лише І

лише І та ІІІ

лише ІІ та ІІІ

І, ІІ і ІІІ

Запитання 11

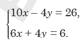
Розв’яжіть систему рівнянь.

Для одержаного розв’язку (x0; y0) обчисліть добуток x0 × y0.

варіанти відповідей

3

6

4

- 3

- 6

Запитання 12

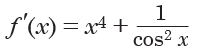
Укажіть похідну функції f (x) = 4x3 + tg

варіанти відповідей
Запитання 13

Розв’яжіть нерівність 10 x + 1 > 0,01.

варіанти відповідей

(–∞; –3).

(–3; +∞).

(–2; +∞).

(–∞; –2).

(1; +∞).

Запитання 14

Обчисліть cos 210o

варіанти відповідей

½


- ½

√3 ∕ 2

-√3 ∕ 2

-√2 ∕ 2

Запитання 15

Площа бічної поверхні циліндра дорівнює 24π, а довжина кола його основи – 4π. Визначте висоту цього циліндра.

варіанти відповідей

8

6

4

3

2

Запитання 16

Виберіть правильну відповідність між виразом (1–3) та твердженням про його значення (А – Д), що є правильним, якщо а = – 0,6.

варіанти відповідей
Запитання 17

До кожного початку речення (1–3) доберіть його закінчення (А – Д) так, щоб утворилося правильне твердження.

Виберіть правильну відповідність.

варіанти відповідей
Запитання 18

До кожного початку речення (1–3) доберіть його закінчення (А – Д) так, щоб утворилося правильне твердження.

Виберіть правильну відповідність.

варіанти відповідей
Запитання 19

За 800 г борошна фабрики «Колос» заплатили 16 грн 56 коп., а за 1 кг борошна фабрики «Хлібна» – 18 грн.

1.     Скільки гривень коштує 1 кг борошна фабрики «Колос»?

2.      На скільки відсотків 1 кг борошна фабрики «Колос» дорожчий за 1 кг борошна фабрики «Хлібна»?


 Обери правильну відповідь.

варіанти відповідей

1. 13,248

2. 45%

1. 20,7

2. 15%

1. 0,05

2. 15%

1. 20,7

2. 45%

Запитання 20

На колі із центром у точці О вибрано точки А, В й С так, що  кут ACB =15o (див. рисунок). Довжина меншої дуги АВ кола дорівнює 8π см.

1.      Визначте градусну міру центрального кута АОВ, що спирається на меншу дугу АВ.

2.     Визначте радіус цього кола (у см).

варіанти відповідей

1. 7,50

2. 96 см

1. 300

2. 48 см

1. 450

2. 32 см

1. 600

2. 24 см

Створюйте онлайн-тести
для контролю знань і залучення учнів
до активної роботи у класі та вдома

Створити тест