Симуляція НМТ 2

Додано: 20 січня
Предмет: Математика, 11 клас
Копія з тесту: НМТ 7 (15.06.23 (2))
15 запитань
Запитання 1

Розв’яжіть нерівність

варіанти відповідей

(–; –3]

(–3; +)

(–; 3]

[–3; +)

(–; –3)

Запитання 2

Визначте координати вектора, який є сумою векторів 

варіанти відповідей

(–5; 1; 7)

(–9; –1; 1)

(–5; –5; 7)

(9; 1; –1)

(–5; –1; 7)

Запитання 3

2(5x+6)=

варіанти відповідей

10x+12

10x+6

7x+8

7x+12

5x+8

Запитання 4

Точки А і В лежать на колі радіуса 16. Укажіть найбільше можливе значення довжини відрізка АВ.

варіанти відповідей

16

64

8

48

32

Запитання 5

На рисунку зображено графік функції y=f(x) , визначеної на проміжку [-2;4]. Укажіть нуль функції

варіанти відповідей

х=-2

х=0

х=1

х=2

х=4

Запитання 6

Плату за користування комп’ютерною програмою підвищили з 140 грн у 2021 році до 161 грн у 2022 році. На скільки відсотків було збільшено оплату в 2022 році?

варіанти відповідей

10 %

13 %

25 %

15 %

20 %

Запитання 7

Які з наведених тверджень є правильними?

I.  Середня лінія трапеції проходить через точку перетину її діагоналей.

II. Середня лінія розбиває трапецію на два рівні трикутники.

III. Діагоналі рівнобічної трапеції рівні.

варіанти відповідей

лише I

лише II

лише IIІ

лише I та III

лише ІI та III

Запитання 8

Кількість виготовлених підприємством за рік стільців відноситься до кількості виготовлених ним столів як 3 : 1. На якій із діаграм правильно відображено розподіл кількості столів і стільців, виготовлених підприємством за рік?

варіанти відповідей
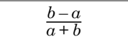
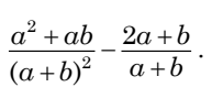
Запитання 9

Спростіть вираз 

варіанти відповідей
Запитання 10

Доберіть закінчення речення так, щоб утворилося правильне  твердження: «Циліндр утворений обертанням...

варіанти відповідей

різностороннього трикутника навколо однієї з його сторін».

прямокутного трикутника навколо свого катета».

прямокутника навколо своєї сторони».

рівностороннього трикутника навколо його висоти».

прямокутника навколо його діагоналі».

Запитання 11

Укажіть корінь рівняння sin 4x = –1.

варіанти відповідей
Запитання 12

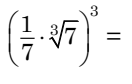
Знайдіть значення

варіанти відповідей
Запитання 13

Розв’яжіть систему рівнянь. Якщо (x0; y0) – розв’язок цієї системи, то x0 + y0 =


варіанти відповідей

35

-150

150

36

42

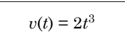
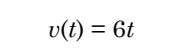
Запитання 14

Матеріальна точка рухається прямолінійно за законом х(t) , де x(t) – координата точки (у метрах), t – час (у секундах). За якою формулою визначається швидкість v(t) руху цієї матеріальної точки в будь-який момент часу t?

варіанти відповідей
Запитання 15

У паралелограмі ABCD ∠А = 30°, бічна сторона АВ = 12 см. Сторона AD втричі більша за висоту, проведену до цієї сторони. Визначте площу цього паралелограма.

варіанти відповідей

Створюйте онлайн-тести
для контролю знань і залучення учнів
до активної роботи у класі та вдома

Створити тест