НМТ математика №1

Додано: 17 квітня
Предмет: Алгебра, 11 клас
16 запитань
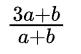
Запитання 1

Запитання 1

варіанти відповідей
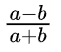
Запитання 2

Запитання 2

варіанти відповідей

4

8

16

32

64

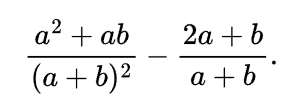
Запитання 3

2(5х + 6) =

варіанти відповідей

5х + 8

10х + 6

7х + 8

7х + 12

10х + 12

Запитання 4

Розв'яжіть нерівність:

варіанти відповідей
Запитання 5

Визначте координати вектора, який є сумою векторів

варіанти відповідей
Запитання 6

Запитання 6

варіанти відповідей

-3

-2

4

Запитання 7

Завдання 7

варіанти відповідей

10

15

21

85

115

Запитання 8

Доберіть закінчення речення так, щоб утворилося правильне твердження: «Циліндр утворений обертанням…

варіанти відповідей

квадрата навколо його сторони».

прямокутника навколо його діагоналі».

прямокутного трикутника навколо його гіпотенузи».

прямокутного трикутника навколо його катета».

квадрата навколо його діагоналі».

Запитання 9

Обчисліть

варіанти відповідей

27

1/7

1

1/49

49

Запитання 10

Які з наведених тверджень є правильними?

I.   Середня лінія трапеції проходить через точку перетину її діагоналей.

II.  Діагональ трапеції ділить її на два рівних трикутники.

III. Діагоналі рівнобічної трапеції рівні.

Запитання 11

Які з наведених тверджень є правильними?

I.   Середня лінія трапеції проходить через точку перетину її діагоналей.

II.  Діагональ трапеції ділить її на два рівних трикутники.

III. Діагоналі рівнобічної трапеції рівні.

варіанти відповідей

лише III

лише I та IIІ

лише I та II

лише II та IIІ

І, ІІ та ІІІ

Запитання 12

Запитання 11

варіанти відповідей

-150

35

36

42

150

Запитання 13

Запитання 12

варіанти відповідей
Запитання 14

Запитання 13

варіанти відповідей

54

54√3

108

108√3

216

Запитання 15

Спростити вираз

варіанти відповідей

1

-1

Запитання 16

Завдання 15

варіанти відповідей

Створюйте онлайн-тести
для контролю знань і залучення учнів
до активної роботи у класі та вдома

Створити тест