Об’єм піраміди. Об’єм зрізаної піраміди

Додано: 4 лютого
Предмет: Геометрія, 11 клас
14 запитань
Запитання 1

Основою піраміди є трикутник АВС, АВ = 7 см, ВС = 8 см, ∠АВС = 30°, її висота дорівнює 6 см. Знайдіть об’єм піраміди.


варіанти відповідей

24 см3

48 см3

28 см3

56 см3

Запитання 2

У призмі АВСА1В1С1 проведено переріз, який ділить ребро АА1 на дві рівні частини (див. рис.). Знайдіть об’єм призми, якщо об’єм піраміди МАВС дорівнює V.

варіанти відповідей

2 V

3 V

4 V

6 V

Запитання 3

На рисунку зображено куб АВСВА1В1С1D1. Точки E, F та N належать ребрам А1B1, A1D1 і АА1 відповідно. А1Е:ЕВ1 = 2:1, А1F:FD1 = 3:1, А1N:NA = 2:3. Знайдіть об’єм піраміди А1EFN, якщо об’єм куба дорівнює V.

варіанти відповідей

1/6 V

1/8 V

1/16 V

1/24 V

1/30 V

Запитання 4

Основою піраміди є рівнобедрений трикутник з основою 12 см і бічною стороною 10 см. Проєкцією вершини піраміди на площину її основи є точка перетину бісектрис основи. Найменше бічне ребро піраміди дорівнює 13 см. Знайти об’єм піраміди.

варіанти відповідей
Запитання 5

Основою піраміди є трикутник зі сторонами 3√10 см, 3√10 см і 6 см. Кожне бічне ребро піраміди дорівнює 13 см. Знайдіть об’єм піраміди.

варіанти відповідей

72 см3

216 см3

324 см3

108 см3

Запитання 6

Обчисліть об’єм піраміди, основою якої є ромб з діагоналями 10 см і 18 см, а висота піраміди дорівнює 20 см.

варіанти відповідей

1800 см3

600 см3

1200 см3

300 см3

Запитання 7

Сторона основи правильної чотирикутної піраміди дорівнює a, а її діагональний переріз — рівносторонній трикутник. Знайдіть об’єм піраміди.

варіанти відповідей
Запитання 8

Основою піраміди є прямокутник, сторони якого дорівнюють 12 см і 16 см. Кожне бічне ребро піраміди утворює з площиною основи кут 30°. Знайдіть об’єм піраміди.

варіанти відповідей

960 см3

576√3 см3

Запитання 9

Основою піраміди є трикутник зі сторонами 39 см, 39 см і 30 см. Двогранні кути піраміди при ребрах основи дорівнюють 45°. Знайдіть об’єм піраміди.

варіанти відповідей

900 см3

600 см3

1800 см3

1200 см3

Запитання 10

Знайдіть об’єм правильної шестикутної піраміди, сторона основи якої дорівнює 6 см, а бічна грань утворює з площиною основи кут 45°.

варіанти відповідей

108 см3

54√3 см3

108√3 см3

162 см3

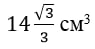
Запитання 11

Сторони основ правильної зрізаної трикутної піраміди дорівнюють 2 см і 4 см, а висота - 5 см. Знайдіть об’єм зрізаної піраміди.

варіанти відповідей
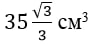
Запитання 12

Сторони основ правильної зрізаної трикутної піраміди дорівнюють 3 см і 6 см, а бічне ребро утворює з площиною більшої основи кут 45°. Знайти об’єм зрізаної піраміди.

варіанти відповідей

16 см3

189/12 см3

63/4 см3

12√3 см3

Запитання 13

Сторони основ правильної зрізаної трикутної піраміди дорівнюють 3 см і 6 см, а висота повної піраміди - 10 см. Знайдіть об’єм зрізаної піраміди.

варіанти відповідей

45 см3

Запитання 14

Менша снова зрізаної піраміди - трикутник зі сторонами 8 см, 26 см і 30 см. Бічні грані утворюють з площиною більшої основи кути по 45°, а висоти бічних граней дорівнюють 3√2 см. Знайдіть об’єм зрізаної піраміди.

варіанти відповідей

572 см3

632 см3

648 см3

672 cм3

Створюйте онлайн-тести
для контролю знань і залучення учнів
до активної роботи у класі та вдома

Створити тест