Первісна, інтеграл

Додано: 17 грудня 2025
Предмет: Алгебра, 11 клас
Копія з тесту: Первісна, інтеграл
9 запитань
Запитання 1

Скільки первісних має функція у = х4 - 4х3+ 3х- х на множині дійсних чисел?



варіанти відповідей

1

2

безліч

0

Запитання 2

Знайти загальний вид первісної функції у = 3 +2х - -6х2

варіанти відповідей

F(х) = 1,5х +х2 -2х3

F(х) = 1,5х +х -3 +х +с

F(х) = 1,5х +х2 -2х3 с

F(х) = 3 +х2- 2х3

Запитання 3

Знайти первісну, графік якої проходить через точку А (1,-1) для функції


f (х)=3-3х2.

варіанти відповідей

F(х) = 3х - х3

F(х) = 3х - х +С

F(х) = 3х - х3 +3

F(х) = 3х - х3 -3

Запитання 4

Що означає дія інтегрування?

варіанти відповідей

Знаходження похідної

Знаходження первісної

Те саме, що й диференціювання

Групування

Запитання 5

Обчисліть визначений інтеграл

варіанти відповідей

чотири

мінус чотири

вісім

шістнадцять

Запитання 6

Обчисліть

варіанти відповідей

6

8

3

9

Запитання 7

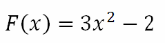
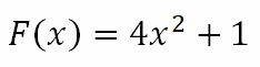
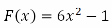
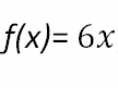
Вказати первісну для функції f(x)= 6х, графік якої проходить через точку А(-1;5).

варіанти відповідей
Запитання 8

Первісною для у = 4x3+3x2-6x+2 є:

варіанти відповідей

 F(x)=x4+x3-3x2+2x+c


F(x)=12x2+6x-6+c

F(x)=12x4+6x3-12x2+2x+c

 F(x)=16x4+9x3-12x2+2x+c

Запитання 9

Знайти загальний вигляд первісної функції f(x) = х5

варіанти відповідей

 F(x) = х³ / 3 + С


F(x) = х4 /4 + С

 F(x) = х6 /6 + С

F(x) = 5х4 +  С

Створюйте онлайн-тести
для контролю знань і залучення учнів
до активної роботи у класі та вдома

Створити тест