Підсумкова робота з алгебри (2 семестр)

Додано: 5 червня 2025
Предмет: Алгебра, 9 клас
12 запитань
Запитання 1

Розв'язати нерівність: x2 - 4x - 5 ≥ 0

варіанти відповідей

[ -5;1]

(1;5)

(- ∞; -1] ⋃ [5; +∞)

(- ∞; -5) ⋃ (1; +∞)

Запитання 2

Яка з нерівностей має порожню множину розв'язків?

варіанти відповідей

4x - 3 > 0

3x²-4x+1 < 0

-x2 + 3x -5 > 0

x2 + 8x +20 > 0

Запитання 3

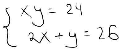
Яка з точок є розв'язком системи рівнянь:

варіанти відповідей

(12;2)

(-8;-3)

(4;6)

(1;24)

Запитання 4

Розв'яжіть задачу:


Діагональ прямокутника дорівнює 13 см, а його площа - 60 см2.

Знайдіть сторони прямокутника

варіанти відповідей

6 см і 10 см

5 см і 12 см

6 см і 7 см

5 см і 8 см

Запитання 5

Яка з даних послідовностей задана рекурентно?

варіанти відповідей

1, 2, 4, 8 ...

an = an-1 - a1

an = 5n - 4n2

Від одного до ста

Запитання 6

Знайдіть 3-ій член арифметичної прогресії, якщо 1-ий член цієї прогресії дорівнює 17, а 5-ий член дорівнює 9

варіанти відповідей

11

-5

23

13

Запитання 7

Для побудови багатоярусного торту кондитер має випікати коржі так, щоб кожен наступний ярус важив на 2 кг більше. Знайдіть масу 10-ярусного торту, якщо маса верхнього ярусу всього 1 кг

варіанти відповідей

10 кг

20 кг

100 кг

120 кг

Запитання 8

Знайдіть знаменник геометричної прогресії, якщо b1 = - ½, а b4 = 4.

варіанти відповідей

0,5

-0,5

2

-2

Запитання 9

Вкладник поклав до банку 20 000 грн. під 20% річних. Яка сума буде на його рахунку через 2 роки?

варіанти відповідей

22 000 грн.

24 200 грн.

25 600 грн.

28 800 грн.

Запитання 10

Скільки існує трицифрових чисел, у яких усі цифри непарні й не повторюються?

варіанти відповідей

12

30

60

120

Запитання 11

В закритій урні містяться номерки від 1 до 20. Яка ймовірність витягти номер, що ділиться на 3?

варіанти відповідей

0,3

0,25

0,5

0,6

Запитання 12

Що є медіаною вибірки:

1, 7, 10, 10, 15, 5, 4, 8, 15, 17, 7, 7, 11

варіанти відповідей

7

8

9

10

Створюйте онлайн-тести
для контролю знань і залучення учнів
до активної роботи у класі та вдома

Створити тест