ЛАБОРАТОРНА РОБОТА № 1 Тема. Визначення прискорення тіла в ході рівноприскореного прямолінійного руху.

Додано: 22 вересня 2025
Предмет: Фізика, 10 клас
14 запитань
Запитання 1

Яка одиниця вимірювання прискорення в СІ? 

варіанти відповідей

1 м

1 м/с2

1 м/с

1 с/м2

Запитання 2

Вкажіть формулу рівняння швидкості рівноприскореного прямолінійного руху.

варіанти відповідей
Запитання 3

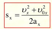
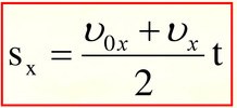
За якою формулою визначають проекцію вектора переміщення?

варіанти відповідей
Запитання 4

За якою формулою визначають координату тіла для рівноприскореного прямолінійного руху? 

варіанти відповідей
Запитання 5

За якою формулою визначають проекцію вектора прискорення?

варіанти відповідей
Запитання 6

Яка одиниця вимірювання переміщення в СІ? 

варіанти відповідей

1 м

1 м/с2

1 м/с

1 с/м2

Запитання 7

Яка одиниця вимірювання часу в СІ? 

варіанти відповідей

1 с

1 м/с2

1 м/с

1 с/м2

Запитання 8

Визначте, який з графіків відповідає рівносповільненому руху тіла

варіанти відповідей

1

2

3

жоден

Запитання 9

Визначте, на якому з графіків представлено рух тіла, що має найменше прискорення. 

варіанти відповідей

1

2

3

жоден

Запитання 10

Із поданих графіків, оберіть графік залежності αх(t) для рівноприскореного прямолінійного руху.

варіанти відповідей
Запитання 11

Виберіть всі формули для розрахунку проекції переміщення для рівноприскореного прямолінійного руху.

варіанти відповідей
Запитання 12

На рисунку зображено графік залежності проєкції швидкості автомобіля від часу для прямолінійного руху. Визнач за графіком інтервал часу, коли модуль прискорення є мінімальним.

варіанти відповідей

від 0 до 10 с

від 10 до 20 с

від 20 до 30 с

від 30 до 40 с

Запитання 13

Оберіть тему лабораторної роботи 1

варіанти відповідей

Дослідження коливань нитяного маятника, вимірювання прискорення вільного падіння

Вимірювання коефіцієнта тертя ковзання.

Визначення прискорення тіла в ході рівноприскореного прямолінійного руху.

Запитання 14

Оберіть мету для лабораторної роботи 1

варіанти відповідей

виготовити нитяний маятник, визначити за його допомогою прискорення вільного падіння; переконатися в справедливості формули Гюйґенса.

визначити коефіцієнт тертя ковзання дерева по дереву.

визначити прискорення руху скейтбордиста, який з’їжджає похилим треком.

Створюйте онлайн-тести
для контролю знань і залучення учнів
до активної роботи у класі та вдома

Створити тест