Провідники та діелектрики в електростатичному полі

Додано: 13 травня 2025
Предмет: Фізика, 10 клас
15 запитань
Запитання 1

Яка основна властивість провідників з точки зору наявності електричних зарядів? 

варіанти відповідей

У них відсутні будь-які електричні заряди. 

У них є вільні рухомі заряди (зазвичай електрони). 

У них є тільки зв'язані (нерухомі) заряди. 

Вони завжди електрично нейтральні і не можуть мати надлишкових зарядів.

Запитання 2

Що відбувається з вільними зарядами всередині провідника, поміщеного у зовнішнє електростатичне поле? 

варіанти відповідей

Вони залишаються нерухомими. 

Вони починають рухатися хаотично і не змінюють свого положення в середньому. 

Вони рухаються доти, доки не компенсують зовнішнє поле всередині провідника. 

Вони накопичуються в центрі провідника.

Запитання 3

Яка напруженість електричного поля всередині суцільного провідника, що перебуває в стані електростатичної рівноваги? 

варіанти відповідей

Дорівнює напруженості зовнішнього поля. 

Більша за напруженість зовнішнього поля. 

Менша за напруженість зовнішнього поля, але не нуль. 

Дорівнює нулю.

Запитання 4

Де розміщується надлишковий електричний заряд на відокремленому провіднику? 

варіанти відповідей

Рівномірно розподіляється по всьому об'єму. 

Накопичується всередині провідника. 

Розподіляється по поверхні провідника. 

Накопичується в точках з найменшою кривизною поверхні.

Запитання 5

Що можна сказати про електричний потенціал у всіх точках провідника, що перебуває в стані електростатичної рівноваги? 

варіанти відповідей

Потенціал усередині більший, ніж на поверхні. 

Потенціал на поверхні більший, ніж усередині. 

Потенціал у всіх точках провідника однаковий (провідник є еквіпотенціальним). 

Потенціал дорівнює нулю.

Запитання 6

Як називається явище перерозподілу вільних зарядів у провіднику під дією зовнішнього електричного поля? 

варіанти відповідей

Поляризація. 

Електричний струм. 

Електростатична індукція. 

Джоулівське тепло.

Запитання 7

Чим діелектрики відрізняються від провідників з точки зору рухливості зарядів? 

варіанти відповідей

Діелектрики мають вільні заряди, які можуть переміщатися по всьому об'єму. 

У діелектриках всі електричні заряди зв'язані і не можуть вільно переміщатися на великі відстані. 

Діелектрики взагалі не мають електричних зарядів. 

Діелектрики мають тільки позитивні заряди.

Запитання 8

Який процес відбувається в діелектрику, розміщеному в зовнішньому електричному полі? 

варіанти відповідей

Виникає спрямований рух вільних електронів. 

Відбувається іонізація речовини. 

Відбувається поляризація - зміщення зв'язаних зарядів або орієнтація молекул-диполів. 

Діелектрик стає провідником.

Запитання 9

Які є основні механізми поляризації діелектриків? 

варіанти відповідей

Тільки електронна поляризація. 

Тільки орієнтаційна поляризація. 

Електронна (зміщення електронних оболонок) та орієнтаційна (поворот диполів) поляризації. 

Тільки іонна провідність.

Запитання 10

Як впливає розміщення діелектрика у зовнішньому електричному полі на сумарну напруженість електричного поля всередині діелектрика? 

варіанти відповідей

Сумарна напруженість збільшується. 

Сумарна напруженість зменшується. 

Сумарна напруженість не змінюється. 

Сумарна напруженість стає рівною нулю.

Запитання 11

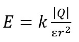
Який фізичний зміст має діелектрична проникність (ε) речовини? 

варіанти відповідей

Вона показує, у скільки разів збільшується електричне поле в речовині порівняно з вакуумом. 

Вона показує, у скільки разів зменшується електричне поле в речовині порівняно з вакуумом. 

Вона характеризує здатність речовини проводити електричний струм. 

Вона показує густину вільних зарядів у речовині.

Запитання 12

Який матеріал, провідник чи діелектрик, зазвичай використовують для електростатичного екранування (захисту від зовнішніх електричних полів)? 

варіанти відповідей

Діелектрик. 

Провідник. 

Немає різниці, матеріал не впливає на екранування. 

Тільки напівпровідник.

Запитання 13

Електростатичні властивості провідників:

варіанти відповідей

Напруженість електростатичного поля всередині провідника дорівнює нулю.

Поверхня провідника є еквіпотенціальною

Увесь статичний заряд провідника зосереджений на його поверхні.

Вектор напруженості електростатичного поля є перпендикулярним до поверхні провідника

Електричні заряди розподіляються по поверхні провідника так, що напруженість електростатичного поля провідника виявляється більшою на виступах провідника і меншою на його западинах.

Увесь статичний заряд провідника зосереджений всередині.

Поверхня провідника має різні потенціали

Вектор напруженості електростатичного поля є паралельним до поверхні провідника

Запитання 14

Діелектрики поділяють на види:

варіанти відповідей

полярні

біполярні

неполярні

популярні

Запитання 15

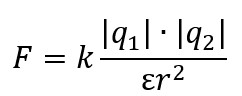
Закон Кулона для випадку взаємодії двох електричних зарядів розташованих в діелектрику:

варіанти відповідей

Створюйте онлайн-тести
для контролю знань і залучення учнів
до активної роботи у класі та вдома

Створити тест