Раціональні вирази. Раціональні дроби. Основна властивість раціонального дробу

11 запитань
Запитання 1

Обрати цілий вираз

варіанти відповідей

2х ∕ х

2 ∕ (х +5)

2х ∕ 5

5 ∕ 2х

Запитання 2

Цілі та дробові вирази називають ....

варіанти відповідей

цілими виразами

дробовими виразами

раціональними виразами

прикладами

Запитання 3

При якому значенні у дріб дорівнює 0

варіанти відповідей

2

-8

8

-2

Запитання 4

Для визначення допустимих значень змінних, що входять до раціональних дробів, треба ...

варіанти відповідей

знайти такі їх значення, при яких знаменник дробу буде дорівнювати нулю

знайти такі їх значення, при яких знаменник дробу не буде дорівнювати 1

знайти такі їх значення, при яких знаменник дробу не буде дорівнювати будь-якому значенню

знайти такі їх значення, при яких знаменник дробу не буде дорівнювати нулю

Запитання 5

Виберіть вираз, у якого областю допустимих значень є всі дійсні числа

варіанти відповідей

3х ⁄ (3-х)

5 ⁄ х

8 ⁄ ( х2 +3х)

2 - 4) ⁄ 3

Запитання 6

Знайти допустимі значення змінних раціонального виразу -8 ∕ х

варіанти відповідей

всі числа, крім 0

всі числа, крім 1

всі числа, крім 8

всі числа

Запитання 7

Знайти допустимі значення змінних раціонального виразу

варіанти відповідей

всі числа, крім -5

всі числа, крім 5

всі числа, крім 0

всі числа

Запитання 8

При якому значенні змінної не має змісту вираз?

варіанти відповідей

-5

5

-5 і 5

0

Запитання 9

Знайдіть ОДЗ виразу 

варіанти відповідей

х – будь – яке число

будь – які значення змінної, крім х =0, х=6

х=0,х=6

Запитання 10

скоротити дріб:


варіанти відповідей

15

45

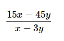
Запитання 11

Скоротіть дріб

варіанти відповідей

нескоротній дріб

Створюйте онлайн-тести
для контролю знань і залучення учнів
до активної роботи у класі та вдома

Створити тест