Розв’язування систем двох лінійних рівнянь із двома змінними

Додано: 24 квітня
Предмет: Алгебра, 7 клас
18 запитань
Запитання 1

Розв’яжіть способом додавання  систему двох лінійних рівнянь з двома змінними

варіанти відповідей

(-3;3)

(3;3)

(3;-3)

(-3;-3)

(0,3; 3)

(3; 0,3)

(0,3 - 3)

(-0,3; 3)

Запитання 2

Яким способом не можна розв'язати систему двох лінійних рівнянь з двома змінними? 

варіанти відповідей

додавання

графічним

множення

підстановки

Запитання 3

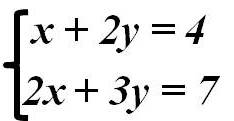
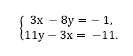
Розв’яжіть способом додавання систему двох лінійних рівнянь з двома змінними

варіанти відповідей

(1; 2)

(2; 1)

(5; 3)

(3; 5)

(0,55; 8)

(2,1; 1,7)

(4; -6,3)

(3,7; 1,5)

Запитання 4

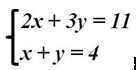
Розв’яжіть способом додавання систему двох лінійних рівнянь з двома змінними 

варіанти відповідей

 (3;1)     

(-3;1)  

(1;3)     

(11; 3)   

(1,1; 0,1)

(5,7; 2,1)

(33; 2,3)

(9,8; 33)

Запитання 5

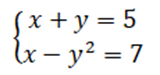
1. Яка з пар чисел є розв'язком системи

варіанти відповідей

( 1 ; 2 )

( 2 ; 1 )

( -1 ; 6 )

( 1 ; 6 )

(-2,5; 6)

(1,5; 3)

(3; 1)

(6; 3)

Запитання 6

Розв’яжіть систему рівнянь методом додавання 

варіанти відповідей

(1;13)

(-2;1/4)

(0;2,5)

(1/4;2)

(0,5; 13)

(2, 4)

(13; 0,5)

(7,5; 13)

Запитання 7

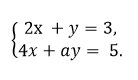
При якому значенні a система рівнянь не має розв'язків?


варіанти відповідей

4

5

-3

2

1

інша відповідь

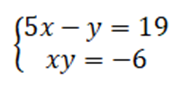
Запитання 8

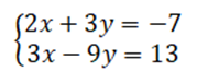
Розв'яжіть систему рівнянь. У відповідь запишіть суму розв'язків системи.

варіанти відповідей

-4

7

-15

13

-7

інша відповідь

Запитання 9

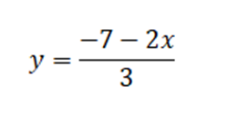
Визначте, у якій з наведених нижче рівностей правильно виконано підстановку для розв'язування системи рівнянь.


варіанти відповідей

2(3у + 2) + 3у = 9

2х + 3(3у - 2) = 9

2(3у - 2) + 3у = 9

2х + 3(3у + 2) = 9


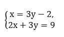
Запитання 10

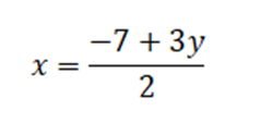
Виразіть із системи з першого рівняння змінну х через змінну y.


варіанти відповідей
Запитання 11

Скільки розв'язків може мати система двох лінійних рівнянь з двома змінними?

варіанти відповідей

один

декілька

безліч

жодного

Запитання 12

Розв'язати систему рівнянь означає...

варіанти відповідей

викреслити зайві коефіцієнти

довести, що розв'язків немає

записати натуральні числа

знайти всі її розв'язки

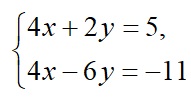
Запитання 13

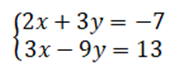
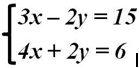
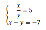
Які із систем є системою двох лінійних рівнянь з двома змінними?

варіанти відповідей
Запитання 14

Що таке система рівнянь?

варіанти відповідей

дві прямі, які перетинаються

дві пари чисел

два рівняння, які мають спільний розв'язок

немає вірної відповіді

Запитання 15

Скільки розв'язків має система рівнянь, графіки яких зображені на малюнку?

варіанти відповідей

 жодного

 безліч

один

 два

Запитання 16

Скільки розв'язків має система рівнянь, графіки яких зображені на малюнку?

варіанти відповідей

 жодного

 безліч

 один

два

Запитання 17

Користуючись малюнком, розв'яжіть систему рівнянь

х + у = 6

х - у = 2

варіанти відповідей

(2;4)

(4;2)

(5;3)

(2;0)

Запитання 18


Скільки розв'язків має система рівнянь, графіки яких зображені на малюнку?

варіанти відповідей

один

безліч

жодного

два

Створюйте онлайн-тести
для контролю знань і залучення учнів
до активної роботи у класі та вдома

Створити тест