самостійна робота №9 алгебра 01.05

Додано: 25 квітня
Предмет: Алгебра, 7 клас
11 запитань
Запитання 1

Укажіть пару чисел, що є розв'язком системи рівнянь

варіанти відповідей

(1;7)

  (1;3)

 (-4;0)

 (0;4)

Запитання 2

У рівнянні з двома змінними 4х - 2у = 5 виразіть змінну у через змінну х.

варіанти відповідей

y=2x-2,5

y=-2x+2,5

y=-2x-2,5

y=2x+2,5

Запитання 3

У рівнянні з двома змінними х - 7у = 5 виразіть змінну х через змінну у.

варіанти відповідей

х=5-7у

х=7у-5

х=5+7у

х=-7у-5

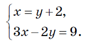
Запитання 4

Розв’яжіть систему рівнянь способом підстановки. Подумайте, з якого рівняння краще виразити одну змінну через іншу.

Знайдіть розв'язок (х;у),

обчисліть х+у та вкажіть отримане значення

варіанти відповідей

1

2

3

4

Запитання 5

Сума двох чисел становить 81, а їх різниця дорівнює 15 Яка із систем відповідає умові задачі,

якщо більше число х, а менше - у?

варіанти відповідей
Запитання 6

Укажи, скільки розв’язків має рівняння x*0 = 0 .

варіанти відповідей

один

жодного

безліч

два

Запитання 7

Познач пару чисел, що є розв’язком системи двох лінійних рівнянь:

варіанти відповідей

(3; 5)

(5; 3)

(–2; 7)

(–3; 4)

Запитання 8

Знайдіть два числа, якщо їхня сума дорівнює 13, а різниця між подвоєним першим і другим числом 8.

варіанти відповідей

7 і 6

3 і 10

6 і 10

5 і 8

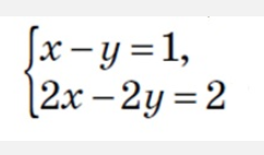
Запитання 9

вкажіть скільки розв'язків має система рівнянь,

варіанти відповідей

жодного

один

безліч

два

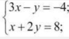
Запитання 10

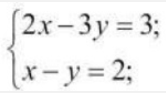
Якщо до системи рівнянь використати метод додавання, то отримаємо рівняння:

варіанти відповідей

6у=18

6у=2

6х=18

6х=2

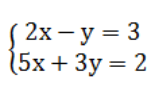
Запитання 11

На яке число потрібно помножити обидві частини першого рівняння системи , щоб одержати в рівняннях протилежні коефіцієнти при змінній у ? 

варіанти відповідей

3

-3

2

5

Створюйте онлайн-тести
для контролю знань і залучення учнів
до активної роботи у класі та вдома

Створити тест