Розв’язування систем лінійних рівнянь

Додано: 24 квітня
Предмет: Алгебра, 7 клас
4 запитання
Запитання 1

У рівнянні 2х – 4у = 12 виразіть змінну х через змінну у

варіанти відповідей

x = 12 + 4y

y = 6 + 2x

x = 6 + 2y

x = 12 - 4y

Запитання 2

Через яку з даних точок проходить графік рівняння 3х – 4у = 14 ?

варіанти відповідей

(2; 2)

(2; -2)

(-2; 2)

(-2; - 2)

Запитання 3

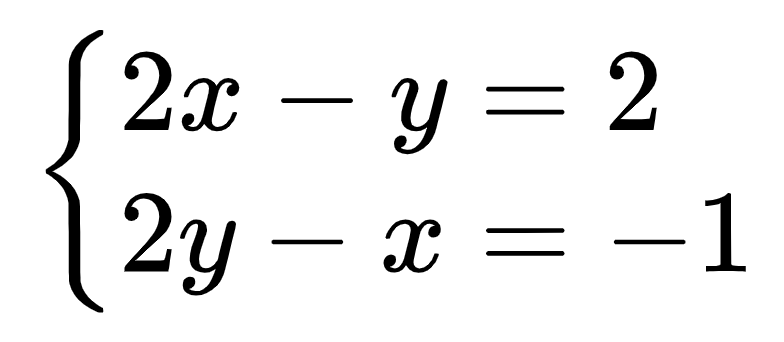
Знайдіть розв'язок системи рівнянь

варіанти відповідей

(1; 2)

(2; 1)

(0; 1)

(1; 0)

Запитання 4

Сума двох чисел дорівнює 17, а їх різниця дорівнює 5. Знайдіть ці числа

варіанти відповідей

10 та 7

11 та 6

13 та 4

12 та 5

Створюйте онлайн-тести
для контролю знань і залучення учнів
до активної роботи у класі та вдома

Створити тест