Самостійна робота № 22 з теми «Абетка електростатики. Електричне поле» 2 варіант

Додано: 16 листопада 2025
Предмет: Фізика, 10 клас
8 запитань
Запитання 1

Поле, напруженість якого в усіх точках однакова за модулем і напрямком. (1 бал)


варіанти відповідей

а) Електричне поле                    

б) Електростатичне поле


в) Електромагнітне поле           

г) Однорідне електростатичне поле

Запитання 2

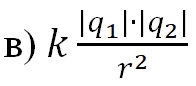
Математичний вираз, що відповідає означенню сили дії електричного поля на заряд. (1 бал)

варіанти відповідей
Запитання 3

Яка одиниця вимірювання напруженості електричного поля в даній точці? (1 бал)


варіанти відповідей

а) Н

б) Кл

Нм2/Кл2

г) Н/Кл

Запитання 4

Яким є напрямок напруженості електричного поля, створеного двома однаковими за модулем точковими зарядами (див. рисунок)? (1 бал)



варіанти відповідей

а) А                      

б) Б                    

  в) В                           

г) Г

Запитання 5

З якою силою діє електричне поле напруженістю 40 Н/Кл на заряд 5 Кл? (2 бали)

варіанти відповідей

а) F = 100 Н

б) F = 200 Н

в) F = 150 Н

г) F = 250 Н

Запитання 6

На якій відстані від точкового заряду 8 мкКл напруженість електричного поля дорівнює 288 кН/Кл? (1 бал)

варіанти відповідей

а) r = 0,3 М

б) r = 0,6 М

в) r = 0,2 М

г) r = 0,5 М

Запитання 7

Два однакові за модулем і знаком точкові заряди, розташовані на відстані 20 см один від одного, відштовхуються із силою 36 мН. Визначити значення кожного заряду. (2 бали)

варіанти відповідей

а) q1 =q2 = 0,4 мкКл

б) q1 =q2 = 0,3 мкКл

в) q1 =q2 = 0,5 мкКл

г) q1 =q2 = 0,8 мкКл

Запитання 8

Два точкові заряди 9 мкКл і –25 мкКл розташовані на відстані 20 см один від одного. Визначити, у якій точці напруженість електричного поля дорівнює нулю. (3 бали)

варіанти відповідей

а) l = 20 см

б) l = 10 см

в) l = 30 см

г) l = 35 см

Створюйте онлайн-тести
для контролю знань і залучення учнів
до активної роботи у класі та вдома

Створити тест