Самостійна робота № 4 з теми «Вільне падіння та криволінійний рух під дією незмінної сили тяжіння» 1 варіант

8 запитань
Запитання 1

М’яч кинули вертикально вгору. Чи змінюється прискорення руху м’яча? Якщо змінюється, то як? (1 бал)



варіанти відповідей

а) Так, у верхній точці траєкторії прискорення дорівнює нулю.


б) Так, прискорення максимальне на початку руху м’яча.


в) Так, у верхній точці траєкторії напрям прискорення змінюється на протилежний.


г) Ні, прискорення не змінюється протягом усього часу руху м’яча.

Запитання 2

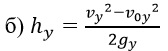
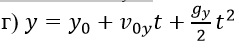
За якою формулою визначають проекцію переміщення, якщо невідомий час руху тіла? (1 бал)

варіанти відповідей
Запитання 3

Яка одиниця вимірювання переміщення? (1 бал)



варіанти відповідей

а) м                    

б) с                 

в) м/с                    

г) м/с2

Запитання 4

Тіло кинули вертикально вниз. Який графік залежності проекції швидкості руху тіла від часу може відповідати цьому рухові? (1 бал)

варіанти відповідей

а) Графік 1                  



б) Графік 2

 

в) Графік 3                    

г) Графік 4  

Запитання 5

Камінь вільно падає без початкової швидкості в ущелину. Яка глибина ущелини, якщо камінь торкнувся дна через 4 с після початку падіння? (2 бали)

варіанти відповідей

а) h = 60 м

б) h = 30 м

в) h = 80 м

г) h = 40 м

Запитання 6

Із гвинтокрила, що рухається горизонтально зі швидкістю 40 м/с, на висоті 500 м скинутий вантаж без початкової швидкості відносно гвинтокрила. На якій відстані по горизонталі від місця скидання впаде вантаж? Опором повітря знехтувати. (1 бал)

варіанти відповідей

а) l = 0,4 км

б) l = 0,2 км

в) l = 0,6 км

г) l = 1,2 км

Запитання 7

Під яким кутом до горизонту потрібно кинути тіло, щоб швидкість його в найвищій точці підйому була вдвічі менша від початкової? (2 бали)

варіанти відповідей

а) α = 30°

б) α = 60°

в) α = 45°

г) α = 25°

Запитання 8

Снаряд, що вилетів з гармати під кутом до горизонту, знаходився в польоті 8 с. Якої найбільшої висоти досягнув снаряд? (3 бали)

варіанти відповідей

а) hmax = 50 м

б) hmax = 30 м

в) hmax = 40 м

г) hmax = 80 м

Створюйте онлайн-тести
для контролю знань і залучення учнів
до активної роботи у класі та вдома

Створити тест