Розв'язування систем лінійних рівнянь з двома змінними методом підстановки.

Додано: 25 квітня
Предмет: Алгебра, 7 клас
6 запитань
Запитання 1

З рівняння х + 3у = 6 виразіть змінну х через змінну у

варіанти відповідей

х = 6 + 3у

х = 6 -  3у

у = 2 - 1,5 х

Запитання 2

Якщо в рівнянні 2х+у = 3 виразити змінну у через змінну х, то одержимо..

варіанти відповідей

у 3 - 2х 

у = 2х - 3

2х = 3 - у

Запитання 3

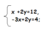
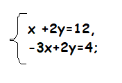
Дана система:

Де вірно виконана підстановка?

варіанти відповідей

-3 ⋅(12-2у) + 2у =12

-3 ⋅(12-2у) =4

-3 ⋅(12-2у) + 2у =4

Запитання 4

Розв'язати систему методом підстановки:

варіанти відповідей

(2; 5)

(5; 2)

(-5; 22)

Запитання 5

Розв’яжіть систему рівнянь:

варіанти відповідей

(3; 4)

(4; –3)

(4; 3)

Запитання 6

Розв’яжіть систему рівнянь:

варіанти відповідей

(9; –2)

(–2; 9)

(–3; 2)

Створюйте онлайн-тести
для контролю знань і залучення учнів
до активної роботи у класі та вдома

Створити тест