Самостійна робота № 9 з теми «Механічна робота. Потужність. Кінетична та потенціальна енергії. Закон збереження механічної енергії» 1 варіант

8 запитань
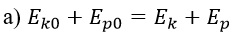
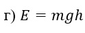
Запитання 1

Формула для обчислення кінетичної енергії тіла. (1 бал)

варіанти відповідей
Запитання 2

Яка одиниця вимірювання жорсткості пружини (шнура)? (1 бал)



варіанти відповідей

а) Вт                   

б) Н                   

в) Н/м                   

Запитання 3

У якому випадку робота сили  є додатною? (1 бал)

варіанти відповідей
Запитання 4

У якій точці траєкторії польоту стріли кінетична енергія стріли мінімальна? (1 бал)



варіанти відповідей

а) 1             

б) 2               

в) 3               

Запитання 5

Хлопчик везе свого друга на санчатах по горизонтальній дорозі, прикладаючи силу 80 Н. Мотузка санчат утворює з горизонталлю кут 60°. За деякий час хлопчик виконав механічну роботу 6000 Дж. Чому дорівнює пройдена відстань? (2 бали)

варіанти відповідей

а) s = 100 м

б) s = 250 м

в) s = 180 м

г) s = 150 м

Запитання 6

Під час оранки трактор долає силу опору 8 кН, розвиваючи корисну потужність 40 кВт. З якою швидкістю рухається трактор? (1 бал)

варіанти відповідей

а) v = 3 м/с

б) v = 5 м/с

в) v = 7 м/с

г) v = 2 м/с

Запитання 7

Куля масою 10 г пробила дошку. При цьому швидкість кулі зменшилася з 600 м/с до 200 м/с. Яку роботу виконала при цьому сила опору дошки? (2 бали)

варіанти відповідей

а) А = 1300 Дж

б) А = 1800 Дж

в) А = 1600 Дж

г) А = 1000 Дж

Запитання 8

Камінь кинули з поверхні Землі вертикально вгору зі швидкістю 10 м/с. На якій висоті кінетична енергія каменю зменшиться в 5 разів у порівнянні з початковою кінетичною енергією? (3 бали)

варіанти відповідей

а) h = 4 м

б) h = 3 м

в) h = 5 м

г) h = 6 м

Створюйте онлайн-тести
для контролю знань і залучення учнів
до активної роботи у класі та вдома

Створити тест